Marine engineering

Experimental study on the influence of artificial trapezoidal ecological reefs on the infragravity wave characteristics in complex reefs

  • NIE Wenjun , 1 ,
  • QU Ke , 1, 2, 3 ,
  • WANG Chao 1 ,
  • YU Renshi 1 ,
  • LIU Yewenya 1
Expand
  • 1. School of Hydraulic and Environmental Engineering, Changsha University of Science & Technology, Changsha 410114, China
  • 2. Key Laboratory of Dongting Lake Aquatic Eco-Environmental Control and Restoration of Hunan Province, Changsha 410114, China
  • 3. Key Laboratory of Water-Sediment Sciences and Water Disaster Prevention of Hunan Province, Changsha 410114, China
QU Ke. email:

Copy editor: LIN Qiang

Received date: 2024-07-09

  Revised date: 2024-09-01

  Online published: 2024-09-03

Supported by

National Key Research and Development Program of China(2022YFC3103601)

Abstract

Through physical model tests in the wave flume, the influence of an artificial trapezoidal ecological reef on the infragravity wave characteristics in the complex island reef environment was investigated and compared with the case of no reef. The wave propagation, reflection, and attenuation effects of the artificial trapezoidal ecological reef in the complex island reef terrain were systematically analyzed. The experimental study shows that the wave height was significantly reduced in the rear area of the ecological reef. The ecological reef effectively weakened the wave breaking near the reef, which reduced the wave set-up value, and decreased the wave height of shortwave and low-frequency longwave near the reef. The existence of the ecological reef also helped reduce the maximum run-up of waves on slopes; the amplitude of wave attenuation increased with the decrease of the pore size of the ecological reef. Additionally, when the wave height and spectral peak period of the incident wave increased, the ecological reef had a more pronounced effect on the shortwave wave height, low-frequency longwave wave height and wave set-up. However, with the increase of water depth of the reef flat, the effect of the ecological reef on the weakening of wave energy showed a decreasing trend. The reflection coefficient in the presence of the ecological reef was generally higher than that in its absence.

Cite this article

NIE Wenjun , QU Ke , WANG Chao , YU Renshi , LIU Yewenya . Experimental study on the influence of artificial trapezoidal ecological reefs on the infragravity wave characteristics in complex reefs[J]. Journal of Tropical Oceanography, 2025 , 44(3) : 48 -57 . DOI: 10.11978/2024137

岛礁是海洋中的一种自然地貌, 通常由珊瑚、岩石或沉积物堆积而成(Monismith, 2007; Li et al, 2020)。在地理上, 岛礁具有重要的战略作用, 位于海洋交通要道的岛礁对于维护国家海洋权益具有重要意义。此外, 岛礁还是丰富的生物多样性资源库, 为许多海洋生物提供了栖息地和繁殖场所。在我国南海存在众多岛礁, 为了保护减少岛礁受到波浪的侵蚀, 许多沿海地区都会修建防护工程(Zhang et al, 2006; Yang et al, 2023; Zheng et al, 2023)。人工生态礁体被认为是岛礁保护和修复的一种手段(Huang et al, 2024)。人工生态礁体是通过人为方式建造的结构, 旨在模拟自然礁石的功能, 为海洋生物提供栖息地, 同时减缓水流, 降低侵蚀, 促进沉积物的稳定(袁小楠 等, 2017; Pan et al, 2022)。人工生态礁体可以采用不同类型的材料, 如混凝土、石块或其他生态友好型材料, 设计上要考虑到对周围环境的影响, 以及长期的可持续性(赵焕庭 等, 2014)。通过建立人工生态礁体, 可以在不破坏原有生态系统的情况下, 增强岛礁的保护能力, 同时为海洋生物提供新的栖息地, 促进生物多样性的恢复(Paxton et al, 2020)。这种方法在岛礁保护和修复中越来越受到重视, 成为实现岛礁可持续发展的重要手段之一(袁涛 等, 2023)。伴随我国海洋强国战略的不断推进, 岛礁建设工程日益增多, 当下迫切需要理论依据来为实际工程予以指导。
国内外学者对波浪在岛礁地形上的传播演化过程以及相关的水动力特性, 已经开展了广泛的研究工作。Kench等(2009)和Duce等(2022)对珊瑚礁现场进行了大量的勘测。刘林平 等(2021)采用Boussinesq方程模型对海啸波在三维岛礁地形上的传播和爬坡进行数值模拟研究。任冰 等(2018)通过模型试验研究了在深水波和有限水深波作用下的规则波在珊瑚礁地形上的传播演变变化特性。Qu等(2022)基于非静压模型研究了海啸波冲击可渗透边缘岛礁的转化和上升过程的水动力特性。Nwogu等(2010)基于Boussinesq方程的数值模型应用于实验数据, 描述由于非线性波相互作用、波浪破碎以及在海岸线的上升而导致的礁坪上波谱的复杂变化。江晖 等(2018)通过物理模型试验, 对波浪在岛礁地形上传播导致的波浪形态变化和波参数进行了分析。徐瑶瑶 等(2022)基于非静压数值计算模型, 研究了聚焦波作用下5种不同的因素对透水潜堤消波特性的影响。柳淑学 等(2015, 2017)通过模型试验对珊瑚礁地形上波浪传播特性进行了实验研究, 分析了波浪破碎后沿程波高的衰减规律, 并给出了礁坪段波浪破碎的计算公式, 之后还研究了三维波浪在岛礁地形上的破碎特性, 发现波浪破碎位置随入射波高增大而移动, 破碎形态由崩破变为卷破, 并提出三维波浪破碎指标。贾美军 等(2020)通过物理模型试验, 研究了不规则波在防浪建筑物影响下低频长波波高和短波波高的变化规律。陈树彬 等(2021)利用物理模型试验, 对珊瑚礁海岸波浪和水流的运动特性展开了研究。Su等(2015)通过Boussinesq方程对次重力波在岛礁地形上的传播变形, 研究发现当次重力波在岛礁上传播时波浪能量会由高频转移成低频。Yao等(2020)基于雷诺平均Navier-Stokes方程和k-ωSST湍流模型, 主要分析了珊瑚岸礁上的礁冠对波浪破碎带附近波生流的影响。
虽然近些年来岛礁对波浪传播演变的影响已有广泛研究, 但是关于透空式人工生态礁体对复杂岛礁波浪传播变形的研究却相对较少。鉴于此, 更深入地探究人工生态礁体与波浪的相互作用, 对于评估和利用这些人工结构物在海岸防护中的潜力至关重要。海洋表面波浪主要是周期为3~30s范围内的短波和周期大于30s的低频长波, 由于实际的海浪多数情况下属于不规则波浪, 次重力波在波浪传播至珊瑚岸礁岸线附近时, 在波浪中占据极大的比重, 甚至处于主导地位(Brander et al, 2004)。这表明在影响波浪岸滩爬高方面, 次重力波的影响至关重要。由此, 开展岛礁上不规则波的水动力特性试验研究具有重大的现实意义。因此, 本文通过物理模型试验分析存在人工生态礁体时对复杂岛礁上波浪传播特性的影响, 与无人工生态礁体的情况下进行对比, 详细讨论礁坪水深、入射波高、谱峰周期和礁体孔径等几个主要因素对低频长波、波浪增水和反射系数的影响。

1 试验概况

1.1 试验布置

本试验是在风浪、水槽造波机系统中进行, 该水槽长45m, 宽0.8m, 高1.0m, 水槽前端配备推板式造波机, 水槽造波机系统可根据试验需要生成规则波、不规则波、畸形波等自定义波浪, 试验不规则波基于标准JONSWAP谱生成。试验采用重力相似准则, 模型的长度比尺为1∶40。在距离造波机23.8m的水槽右侧, 设置了长度为2.55m、高度为0.481m的二段式斜坡, 第一斜坡坡度为1∶2.95, 斜坡长度为0.855m, 第二斜坡长度为1.69m, 坡度比为1∶8.85, 斜坡后连接长度为3.363m、高度为0.481m的水平礁坪。在礁坪后端, 布置了坡度为1∶3.5且长度为1.932m的礁后斜坡, 以模拟真实的海岸边坡, 并用于测量各工况下波浪在礁后斜坡上的爬高, 以便分析波浪对海岸线的冲刷程度。岛礁地形均使用光滑的PVC(polyvinyl chloride)板制成, 板下面使用钢架支撑。水槽末端配有大孔隙泡沫消浪网, 能有效减少水槽末端的波浪反射。
试验地形和浪高仪布置位置见图1表1, 波高数据采用无线电阻式浪高仪进行测量, 采样频率为50Hz。本次试验一共布置了18根浪高仪, 1#~3#浪高仪布置在造波机与岛礁地形中间段, 用于分析入射波高; 4#—6#浪高仪布置在礁前斜坡附近, 用来观测波浪在斜坡上的传播变形; 7#—11#浪高仪布置在人工礁体附近, 用来分析人工礁体对波浪的影响; 12#—18#浪高仪分布在礁坪上, 用于观察礁坪上的波浪增水和波浪破碎。
图1 试验布置图(单位: m)

hr为礁坪水深

Fig. 1 Test layout diagram (units: m). In the figure, hr is the water depth of the reef

表1 浪高仪布置表

Tab. 1 Layout of wave height meter

浪高仪编号 浪高仪位置/m 浪高仪编号 浪高仪位置/m
1# 12.58 10# 25.34
2# 13.121 11# 25.855
3# 13.679 12# 26.35
4# 23.23 13# 26.9105
5# 23.515 14# 27.471
6# 23.8 15# 28.0315
7# 24.085 16# 28.592
8# 24.37 17# 29.1525
9# 24.655 18# 29.713
本试验使用镂空梯形模型作为人工生态礁体进行实验, 礁体模型采用3D打印使用尼龙玻纤制成, 试验模型表面光滑并且不会发生渗透, 所以本次试验不考虑模型的摩阻产生的能量损耗。本试验一共有三种孔径不同的梯形礁体模型, 每种不同的礁体仅模型上圆孔的尺寸有区别, 每个梯形礁体都是紧挨在一起摆放, 没有空隙。试验大孔模型(r=0.01m)的主要尺寸和摆放位置见图2
图2 人工梯形生态礁体模型(单位: cm)

Fig. 2 Artificial trapezoidal ecological reef model (units: cm)

1.2 试验工况

试验选取0.481、0.506、0.531、0.556m共4个水位, 分别对应着礁坪水深为0、0.025、0.050、0.075m; 每种水位有4种入射波高, 分别是0.04、0.06、0.08、0.10m; 一共有5种谱峰周期, 分别是1.0、1.25、1.5、1.75、2.0s; 本次试验的3种孔径的人工礁体分别是0.005m(小孔)、0.0075m(中孔)、0.01m(大孔), 具体工况情况见表2
表2 试验工况设置

Tab. 2 Setting of test conditions

工况 礁坪水深hr/m 入射波高H/m 谱峰周期Tp/m 孔径r/m
A1 0.025 0.04 1.50 0.0075
A2 0.025 0.04 1.50 无礁体
A3 0.025 0.06 1.50 0.01
A4 0.025 0.06 1.50 0.005
A5 0.025 0.06 1.00 0.0075
A6 0.025 0.06 1.25 0.0075
A7 0.025 0.06 1.50 0.0075
A8 0.025 0.06 1.75 0.0075
A9 0.025 0.06 2.00 0.0075
A10 0.025 0.06 1.00 无礁体
A11 0.025 0.06 1.25 无礁体
A12 0.025 0.06 1.50 无礁体
A13 0.025 0.06 1.75 无礁体
A14 0.025 0.06 2.00 无礁体
A15 0.025 0.06 1.50 无礁体
A16 0.025 0.08 1.50 0.0075
A17 0.025 0.08 1.50 无礁体
A18 0.025 0.10 1.50 0.0075
A19 0.025 0.10 1.50 无礁体
B1 0 0.06 1.50 0.0075
B2 0 0.06 1.50 无礁体
B3 0.05 0.06 1.50 0.0075
B4 0.05 0.06 1.50 无礁体
B5 0.075 0.06 1.50 0.0075
B6 0.075 0.06 1.50 无礁体

2 试验结果分析

2.1 水动力分析

本节通过测量A7、A12这2个工况, 研究了不规则波在有无人工礁体时对复杂岛礁上波浪传播的水动力特性的影响。图3展示了波浪传播在不同位置处的有无人工礁体情况下自由水面波动的变化对比图, 图a—d为无人工礁体, 图e—h为有人工礁体, 对比左右有无礁体的自由水面波动可以知道: 当波浪自远海端传播至斜坡前, 有无人工礁体的自由水面波动并没有明显区别(a、e); 当波浪传播至人工礁体附近时, 有人工礁体存在会发生浅水变形, 导致平均水位(mean water level, MWL)开始下降, 而波浪在无人工礁体的情况下没有明显变化(b、f); 随着波浪的进一步传播, 无论是否存在人工礁体, 波浪都将经历破碎过程, 这会使得平均水位显著上升, 同时波高急剧减小, 但人工礁体对波浪破碎程度减弱, 因此在有人工礁体的情形下, 波高明显小于无人工礁体的情况(c、g); 当波浪传播至礁坪上时, 波高会明显下降; 随着波浪的继续传播, 波高会继续减小, 但是此时的雍水现象十分明显, 礁坪上的平均水位也会显著增加(d、h)。
图3 不同位置处的自由水面波动对比图

Fig. 3 Comparison of free water surface fluctuation at different positions

图4展示了在不同位置的波浪频谱变化, 当波浪从远海端传播到礁前斜坡时(2#), 由于人工礁体的存在, 波浪反射增强, 入射波和反射波的叠加致使有礁体存在时的波能比无礁体时的波能大; 当波浪抵达礁前斜坡时(6#), 由于水深减小, 有无礁体时的波能相差幅度稍微减小; 随着波浪继续传播, 当波浪经过人工礁体所在区域时(10#、11#), 有无人工礁体时都会发生浅化破碎, 但是礁体的存在会导致波浪破碎强度增加,耗能增大, 导致高频波能急剧下降, 低频波能小幅下降, 而没有人工礁体的条件下, 波浪能量几乎没有变化; 当波 浪传播至礁坪上时(12#), 随着水深的进一步减小, 使得波谱能量在低频和高频重新分配, 低频能量开始增大, 高频能量小幅减小; 随着波浪在礁坪上继续传播(17#), 由于礁坪底部摩阻, 高频能量逐渐衰减, 能量不断地向低频能量转移, 低频能量逐渐增大, 但是有礁体的波能始终小于无礁体的波能。
图4 不同测点的波谱对比图

s(f)为波能密度, f为频率

Fig. 4 Comparison of spectra of different measuring points. In the figure, s(f) is the wave energy density and f is the frequency

2.2 礁坪水深的影响

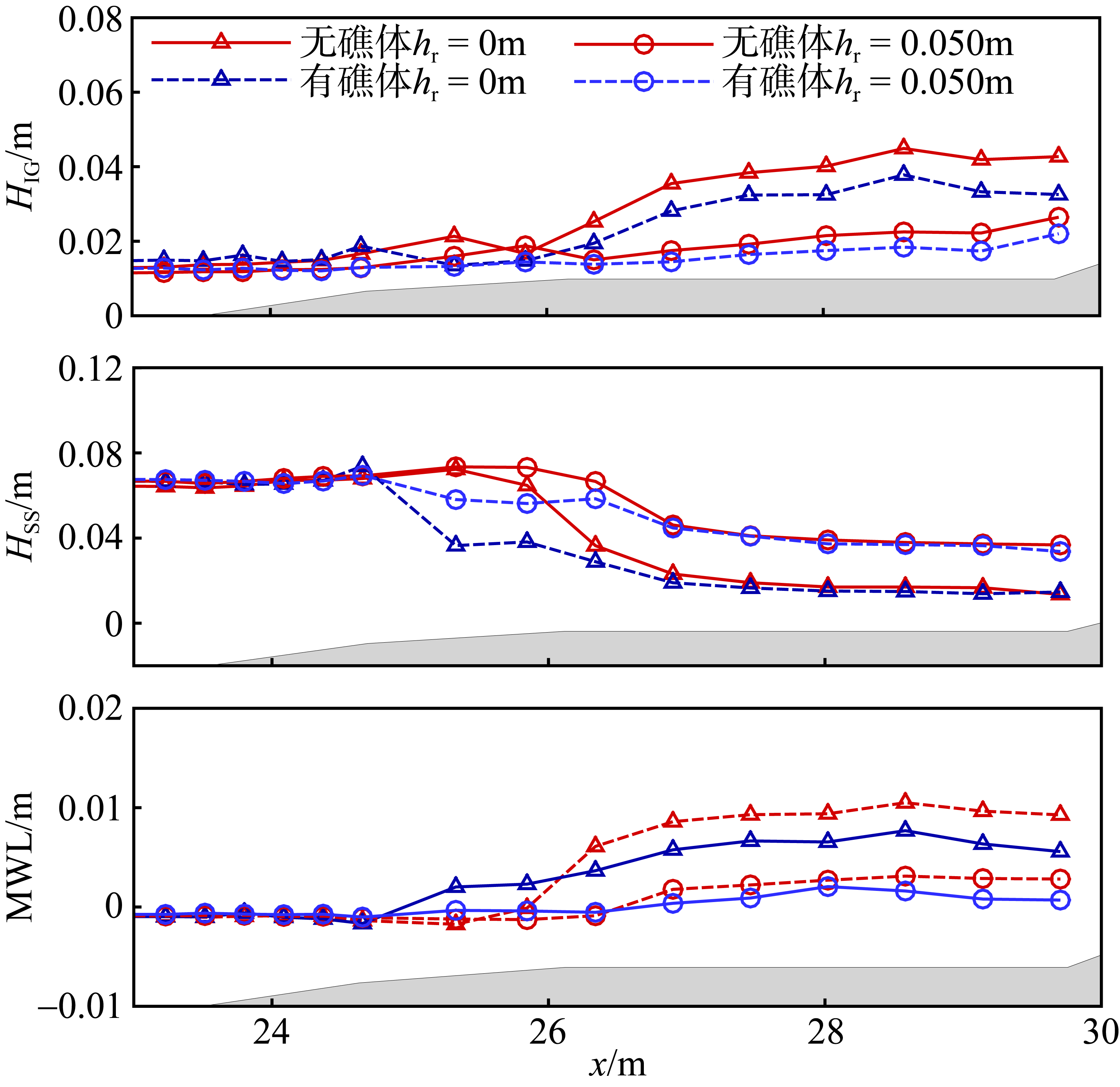
通过测量A7、A12、B1、B2、B3、B4、B5、B6这8个工况, 研究了在不同的礁坪水深条件下人工礁体对波浪传播演变水动力特性的影响。
图5图6主要分析礁坪水深对HIGHSS和MWL产生的影响。根据图示分析, 可以观察到当波浪从远海区域向人工礁体附近传播时, 若礁坪的水深较深, 则HSS衰减幅度相对较小。无论水深如何变化, 在人工礁体所在的区域, HIGHSS都会有局部降低的现象发生HSS的降幅更加明显, 最高降幅为44.1%, 但是人工礁体对HSS在通过礁体区域之后的传播中, 影响较小。而人工礁体对HIG的影响比较稳定, 平均降幅在11.3%。随着水深的增加, 波浪破碎的程度降低, 波浪传播变得相对比较稳定, HIG增长幅度会相应减小, 在礁坪水深为0m时, 增幅为43.8%, 在礁坪水深hr=0.050m时, 增幅仅为28.6%。在靠近人工礁体的区域, HSS随着礁坪水深的增加而增加, 这是因为水深的增加降低了波浪破碎的程度。
图5 低频长波(HIG)、短波(HSS)和沿程平均水位(MWL)在不同礁坪水深(hr)时的空间分布图

Fig. 5 Spatial distribution of low-frequency longwave (HIG), shortwave (HSS) and mean water level (MWL) at different water depths (hr) of reef flat

图6 低频长波(HIG)和短波(HSS)在不同礁坪水深(hr)时的变化图

Fig. 6 Variations of low-frequency longwave (HIG) and shortwave (HSS) at different water depths (hr) of reef flat

图7展示了在有无人工礁体的条件下, 波浪最大增水、波浪爬高和反射系数随着礁坪水深的变化的对比结果。从图中可以观察到, 随着礁坪水深的增加, 波浪增水呈现出递减的趋势, 这种现象是因为水深增加时, 波浪破碎的程度降低, 辐射应力衰减幅度减小, 从而使得波浪增水的幅度逐渐减小。此外, 人工礁体的存在显著降低了波浪最大增水, 但是随着礁坪水深增大, 这种降低幅度减小。图中现象也表明, 波浪的最大爬升高度随着礁坪水深的增加单调递增, 有无礁体的最大爬高平均相差7.9%, 并且存在人工礁体时的波浪最大爬高始终低于没有人工礁体时的情况。有人工礁体存在时, 波浪的反射系数随着礁坪水深的增大而减小, 而无人工礁体时反射系数随着礁坪水深的增大而增大, 这与王旭等所得出的波浪的反射系数随着礁坪水深的增大而减小结论正好相反(王旭 等, 2024), 这可能是由于随着水深增大, 礁前斜坡对波浪的影响慢慢变小, 没有人工礁体对波浪传播的阻挡作用, 使得礁后斜坡对波浪的影响变大。但是有礁体的反射系数普遍大于无礁体时的情况, 当hr>0.050m时有礁体的反射系数才开始小于无礁体时的反射系数。
图7 波浪最大增水(${{\eta }_{\text{r},\text{Max}}}$)、波浪爬高(${{R}_{\text{Max}}}$)和反射系数(${{K}_{\text{r}}}$)在不同礁坪水深(hr)时的变化图

Fig. 7 Variations of maximum wave set-up $({{\eta }_{\text{r},\text{Max}}})$, wave run-up $({{R}_{\text{Max}}})$and reflection coefficient $({{K}_{\text{r}}})$ at different water depths (hr) of reef flat

2.3 入射波高的影响

本节通过计算A1、A2、A7、A12、A16、A17、A18、A19这8个工况, 研究了不同的入射波高下对人工礁体对复杂岛礁上波浪传播演变水动力特性的影响。
图8图9展示的是不同入射波高对HIGHSS和MWL的影响, 随着入射波高的逐步增加, HIG也会增大。大波高的入射波通常包含更广泛的频谱, 其中低频部分的能量相对更丰富, 这就导致低频长波的表现更为显著。无礁体影响的波浪HIG在传播至岛礁上面之后普遍高于有人工礁体存在的情况, 平均增幅为8.3%。无论是HIG还是HSS, 在经过人工礁体所在区域时, 均出现局部增大的变化趋势, 最大的增大幅度为11.1%。然而, 当波浪传播通过人工礁体所在的区域时, 相较于没有人工礁体区域, HIGHSS的变化速率显著加快(WG10处), HSS最大降低了40.4%, 这一现象表明, 人工礁体对于不同入射波高所产生的HIGHSS的影响是显著的, 人工礁体的存在对波浪传播特性具有重要的调节作用。MWL在通过人工礁体区域时会有局部增大的现象, 入射波高变大时, 局部增大也会增大, 最大增幅可达154%。波浪传播至礁坪上面, 有无礁体的沿程波高相差变得稳定, 平均相差8.6%。
图8 低频长波(HIG)、短波(HSS)和沿程平均水位(MWL)在不同入射波高(H)时的空间分布图

Fig. 8 Spatial distribution of low-frequency longwave (HIG), shortwave (HSS) and mean water level (MWL) at different incident wave heights (H)

图9 低频长波(HIG)和短波(HSS)在不同入射波高(H)时的变化图

Fig. 9 Variations of low-frequency longwave (HIG) and shortwave (HSS) at different incident wave heights (H)

图10展示了不同的入射波高对波浪最大增水、波浪爬高和波浪反射系数的影响, 结果表明: 随着入射波高的增大, 会引起更加强烈的非线性效应, 如破碎、漩涡等都会变大, 这些都会增加波浪的紊动能量, 使得波浪的最大增水值和爬高值都会随之增加, 平均增大幅度为12%。人工礁体的存在显著降低了波浪最大增水值和波浪爬高值, 但是不同的入射波高对波浪爬高的降低幅度影响比较小, 平均降幅为10.6%。当有人工礁体存在时, 无论入射波高怎么变化, 有礁体时波浪的反射系数都比无礁体时的反射系数小。
图10 波浪最大增水(${{\eta }_{\text{r},\text{Max}}}$)、波浪爬高(${{R}_{\text{Max}}}$)和反射系数(${{K}_{\text{r}}}$)在不同入射波高(H)时的变化图

Fig. 10 Variations of maximum wave set-up $({{\eta }_{\text{r},\text{Max}}})$, wave run-up $({{R}_{\text{Max}}})$ and reflection coefficient $({{K}_{\text{r}}})$ at different incident wave heights (H)

2.4 谱峰周期的影响

通过计算A5、A6、A7、A8、A9、A10、A11、A12、A13、A14这10个工况, 研究了不同的谱峰周期的波浪在人工礁体上传播演变水动力特性的影响。
图11图12所展示的数据揭示了在不同谱峰周期条件下, HIGHSS和MWL的空间分布特征。从这些图中可以观察到以下规律: 随着谱峰周期的增加, 较长的谱峰周期促进了低频长波能量在礁坪区域的集聚, 进而导致波高的显著提升, 因此HIG在礁坪上的增幅显著增大, 最大增幅为28.5%。当存在人工礁体时, HIG的增幅也随谱峰周期的增长而表现出上升趋势。对比可知, 有人工礁体存在的情况下HIG比无人工礁体的增幅情况更小, 两者平均相差24.4%。对于HSS, 其在礁坪处会随着谱峰周期的增长而增加, 增加幅度平均为8.6%。
图11 低频长波(HIG)、短波(HSS)和沿程平均水位(MWL)在不同谱峰周期(Tp)时的空间分布图

Fig. 11 Spatial distribution of low-frequency longwave (HIG), shortwave (HSS) and mean water level (MWL) at different spectral peak periods (Tp)

图12 低频长波(HIG)和短波(HSS)在不同谱峰周期(Tp)时的变化图

Fig. 12 Variations of low-frequency longwave (HIG) and shortwave (HSS) at different spectral peak periods (Tp)

图13展示了有无人工礁体存在时, 波浪增水、波浪爬高和波浪反射系数随谱峰周期变化的影响。从该图中可以看出, 随着谱峰周期的增长, 波浪最大增水和波浪爬高都是呈现出明显的增加趋势。在不同的谱峰周期影响下, 波浪最大增水的最大增幅为31.3%, 波浪爬高的最大增幅为34.5%。这一现象可能与入射波的波能流的变化密切相关: 当谱峰周期变大时, 波能流相应增强, 这导致更多的水体被输送至礁坪区域。在有人工礁体的情况下, 波浪增水和波浪爬高的值都比无人工礁体情况下的小, 波浪最大增水和波浪爬高平均降低幅度分别是17.4%和15%。这种效应不仅减少了增水量, 也可能对海岸线附近的生态系统和地貌演变产生重要影响。当波浪的谱峰周期Tp< 1.25s时, 有礁体存在时的反射系数比无礁体时的更大, 反射系数随着谱峰周期的增大而减小。有无礁体时的反射系数随着谱峰周期的变化规律正好相反, 这可能是礁体的存在增加了对短周期波浪的消能作用, 短周期波浪的能量相对集中, 礁体对其能量的吸收和散射更为显著, 导致反射较弱, 反射系数较小, 随着谱峰周期增大, 长周期波浪的能量分布更分散, 礁体对其消能效果相对降低, 更多的能量得以传播出去, 反射系数减小。
图13 波浪最大增水(${{\eta }_{\text{r},\text{Max}}}$)、波浪爬高(${{R}_{\text{Max}}}$)和反射系数在(${{K}_{\text{r}}}$)在不同谱峰周期(Tp)时的变化图

Fig. 13 Variations of maximum wave set-up $({{\eta }_{\text{r},\text{Max}}})$, wave run-up $({{R}_{\text{Max}}})$ and reflection coefficient $({{K}_{\text{r}}})$ at different spectral peak periods (Tp)

2.5 礁体孔径的影响

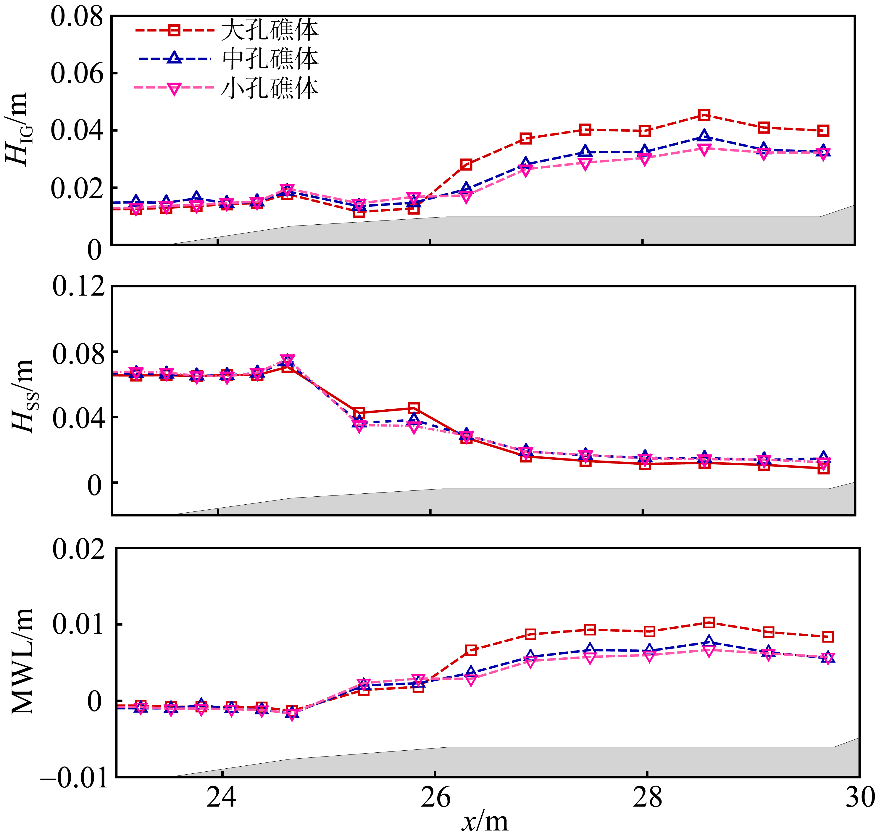
通过分析A3、A4、A7、A12这4个工况, 研究了不同孔径的人工礁体对波浪在岛礁上传播演变水动力特性的变化规律。
图14图15展示了在不同孔径的人工礁体条件下, HIGHSS和MWL的空间分布特征。通过对图中数据的观察与对比能够发现, 伴随人工礁体孔径的逐步增大, 可以观察到不同测点处HIG的变化幅度均呈现出增长态势, 大孔礁体影响的HIG相对于中孔礁体平均增大了11.8%。这是因为当礁体的孔径较大时, 其对长波的阻碍较小, 而对短波的消能作用相对微弱, 由于长波波长较长, 故而能够相对更为容易地穿过较大孔径的礁体, 人工礁体孔径的大小对HSS的影响相对较小, 平均变化只有1.2%。当人工礁体的孔径减小时, MWL也相应降低, 三种孔径的礁体对比最大降幅为36%, 这说明较小的孔径在减弱波浪能量方面的能力更强。
图14 低频长波(HIG)、短波(HSS)和沿程平均水位(MWL)在不同礁体孔径(r)时的空间分布图

Fig. 14 Spatial distribution of low-frequency longwave (HIG), shortwave (HSS) and mean water level (MWL) at different reef apertures (r)

图15 低频长波(HIG)和短波(HSS)在不同礁体孔径(r)时的变化图

Fig. 15 Variations of low-frequency longwave (HIG) and shortwave (HSS) at different reef apertures (r)

图16展示了人工礁体在不同孔径的条件下对波浪最大增水、波浪爬高和波浪反射系数的影响对比。由图可知, 随着礁体孔径的增大, 波浪的最大增水值没有明显变化。孔径增大时, 礁体与波浪之间的相互作用方式发生改变, 会减少波浪在礁体上的破碎和反射, 使得更多的波浪能量得以传递到岸边, 进而增加波浪爬高, 增大幅度为18.8%。但是有人工礁体相对于无人工礁体, 波浪最大增水和爬高值都有所减小, 波浪最大增水平均降幅为16.1%。波浪的反射系数会随着人工礁体孔径的增大而减小, 小孔和中孔的波浪反射系数比无礁体时的反射系数更大, 平均增幅为44%。而大孔礁体对波浪反射系数的影响就比较小, 仅与无礁体的条件相差了1.4%。
图16 波浪最大增水(${{\eta }_{\text{r},\text{Max}}}$)、波浪爬高(${{R}_{\text{Max}}}$)和反射系数在(Kr)在不同礁体孔径(r)时的变化图

Fig. 16 Variations of maximum wave set-up $({{\eta }_{\text{r},\text{Max}}})$, wave run-up $({{R}_{\text{Max}}})$ and reflection coefficient $({{K}_{\text{r}}})$ at different reef apertures (r)

3 结论

本文通过波浪水槽物理模型试验研究了人工梯形生态礁体对复杂岛礁次重力波的波浪特性影响, 试验结果表明:
1)波浪与岛礁地形相互作用时, 由于人工礁体的存在削减了波浪的能量, 使得波浪破碎程度减弱, 波浪破碎位置前移, 并且礁坪上的HIG下降, HSS在人工礁体附近出现局部降低, MWL降低。人工礁体对波浪传播的阻挡作用还会使波浪爬高降低, 在一定程度上增大波浪的反射, 减小波浪对海岸线的侵蚀作用, 保护海边基础设施。
2)当礁坪水深增大时, HIGHSS在礁坪的变化幅度将会减小, 波浪增水也将降低。人工礁体对波浪传播起到阻滞作用, 使得MWL下降, 并且礁坪水深较大时, 波浪在传播过程中能量耗散相对较大, 导致MWL进一步降低, 波浪增水值减小。波浪传播在小水深时有礁体的反射更大, 而在大水深时无礁体的反射更大。
3)随着入射波高增大, 在人工礁体后面局部区域波高的最大降低幅度增大, 并且在礁坪上HIG的增加幅度和HSS的降低幅度随之增大。波浪的入射波高越大, 其所携带的能量就越大, 更多的能量使得波浪在与岛礁或人工礁体相互作用时, 能够克服更多的阻力, 从而导致更大的增水和爬高; 但是入射波高的变化对有人工礁体存在时的波浪反射影响不大。反射系数随着入射波高的增大呈先增大后减小的趋势, 并且有礁体的反射系数一直大于无礁体的反射系数。
4)谱峰周期增大和礁体孔径增大时, HIG在礁坪上的增高幅度单调递增, 也会导致MWL增大, 波浪增水值和波浪爬高变大。HSS在礁坪上降低幅度会随着谱峰周期的增大而增大, 但是人工礁体孔径的变化对HSS的影响比较小, 人工礁体的孔径变大还会使得波浪反射减弱。
[1]
陈树彬, 陈松贵, 姚宇, 等, 2021. 珊瑚礁海岸波流运动特性整体物理模型实验研究[J]. 海洋学报, 43(5): 110-119.

CHEN SHUBIN, CHEN SONGGUI, YAO YU, et al, 2021. Three dimensional physical modelling study on wave and current characteristics in coral reef coastal system[J]. Haiyang Xuebao, 43(5): 110-119 (in Chinese with English abstract).

[2]
贾美军, 姚宇, 陈松贵, 等, 2020. 防浪建筑物影响下珊瑚礁海岸波浪传播变形试验[J]. 海洋工程, 38(6): 53-59, 123.

JIA MEIJUN, YAO YU, CHEN SONGGUI, et al, 2020. Laboratory study of wave transformation around reef coasts under effects of breakwaters[J]. The Ocean Engineering, 38(6): 53-59, 123 (in Chinese with English abstract).

[3]
江晖, 2018. 波浪在岛礁地形上传播特性的研究[D]. 大连: 大连理工大学.

JIANG HUI, 2018. Experimental study on the character of wave propagation on coral reef terrain[D]. Dalian: Dalian University of Technology (in Chinese with English abstract).

[4]
刘林平, 刘维杰, 孙志林, 2021. 珊瑚岛礁孤立波爬坡的平面二维数值模拟研究[J]. 海洋工程, 39(4): 96-103.

LIU LINPING, LIU WEIJIE, SUN ZHILIN, 2021. 2DH numerical study of solitary wave runup around a reef-lined island[J]. The Ocean Engineering, 39(4): 96-103 (in Chinese with English abstract).

[5]
柳淑学, 刘宁, 李金宣, 等, 2015. 波浪在珊瑚礁地形上破碎特性试验研究[J]. 海洋工程, 33(2): 42-49.

LIU SHUXUE, LIU NING, LI JINXUAN, et al, 2015. Experimental researches on wave propagation characteristics on reefs terrain[J]. The Ocean Engineering, 33(2): 42-49 (in Chinese with English abstract).

[6]
柳淑学, 魏建宇, 李金宣, 等, 2017. 三维波浪在岛礁地形上破碎特性试验研究[J]. 海洋工程, 35(3): 1-10.

LIU SHUXUE, WEI JIANYU, LI JINXUAN, et al, 2017. Experimental study on characteristics of 3D waves broken on the reefs terrain[J]. The Ocean Engineering, 35(3): 1-10 (in Chinese with English abstract).

[7]
任冰, 唐洁, 王国玉, 2018. 规则波在岛礁地形上传播变化特性的试验[J]. 科学通报, 63(5): 590-600.

REN BING, TANG JIE, WANG GUOYU, 2018. Experimental investigation of monochromatic wave transformation characteristics over the coral reefs[J]. Chinese Science Bulletin, 63(5): 590-600 (in Chinese with English abstract).

[8]
王旭, 屈科, 门佳, 2024. 人工采砂坑对规则波岸礁水动力特性的影响研究[J]. 海洋通报, 43(1): 69-85.

WANG XU, QU KE, MEN JIA, 2024. Study on the effects of artificial excavation pits on the hydrodynamic characteristics of regular wave over fringing reef[J]. Marine Science Bulletin, 43(1): 69-85 (in Chinese with English abstract).

[9]
徐瑶瑶, 屈科, 黄竞萱, 等, 2022. 聚焦波作用下透水潜堤消波特性数值模拟研究[J]. 海洋学报, 44(11): 121-132.

XU YAOYAO, QU KE, HUANG JINGXUAN, et al, 2022. Numerical simulation of wave dissipation characteristics of permeable submerged breakwater under focused wave[J]. Haiyang Xuebao, 44(11): 121-132 (in Chinese with English abstract).

[10]
袁涛, 施奇佳, 姚宇, 等, 2023. 人工礁研究进展与展望[J]. 热带海洋学报, 42(1): 192-203.

YUAN TAO, SHI QIJIA, YAO YU, et al, 2023. Research progresses and prospects of the artificial reefs[J]. Journal of Tropical Oceanography, 42(1): 192-203 (in Chinese with English abstract).

[11]
袁小楠, 梁振林, 吕振波, 等, 2017. 威海近岸人工鱼礁布设对生物资源恢复效果[J]. 海洋学报, 39(10): 54-64.

YUAN XIAONAN, LIANG ZHENLIN, LV ZHENBO, et al, 2017. The effects of ecological restoration of the artificial reef in Weihai offshore[J]. Haiyang Xuebao, 39(10): 54-64 (in Chinese with English abstract).

[12]
赵焕庭, 王丽荣, 宋朝景, 2014. 南海珊瑚礁地貌模型研究[J]. 海洋学报, 36(9): 112-120.

ZHAO HUANTING, WANG LIRONG, SONG CHAOJING, 2014. Geomorphological model of coral reefs in the South China Sea[J]. Acta Oceanologica Sinica, 36(9): 112-120 (in Chinese with English abstract).

[13]
BRANDER R W, KENCH P S, HART D, 2004. Spatial and temporal variations in wave characteristics across a reef platform, Warraber Island, Torres Strait, Australia[J]. Marine Geology, 207(1-4): 169-184.

[14]
DUCE S, VILA-CONCEJO A, MCCARROLL R J, et al, 2022. Field measurements show rough fore reefs with spurs and grooves can dissipate more wave energy than the reef crest[J]. Geomorphology, 413: 108365.

[15]
HUANG JIANJUN, LOWE R J, GHISALBERTI M, et al, 2024. Wave transformation across impermeable and porous artificial reefs[J]. Coastal Engineering, 189: 104488.

[16]
KENCH P S, BRANDER R W, PARNELL K E, et al, 2009. Seasonal variations in wave characteristics around a coral reef island, South Maalhosmadulu atoll, Maldives[J]. Marine Geology, 262(1-4): 116-129.

[17]
LI YALI, ZOU XINQING, GE CHENDONG, et al, 2020. Age and sedimentary characteristics of beach sediments from Yongle Atoll, South China Sea: implications for sediments supply in a coral reef system[J]. Journal of Asian Earth Sciences, 187: 104083.

[18]
MONISMITH S G, 2007. Hydrodynamics of coral reefs[J]. Annual Review of Fluid Mechanics, 39: 37-55.

[19]
NWOGU O, DEMIRBILEK Z, 2010. Infragravity wave motions and runup over shallow fringing reefs[J]. Journal of Waterway, Port, Coastal, and Ocean Engineering, 136(6): 295-305.

[20]
PAN YUN, TONG HUANHUAN, WEI DONGZE, et al, 2022. Review of structure types and new development prospects of artificial reefs in China[J]. Frontiers in Marine Science, 9: 853452.

[21]
PAXTON A B, SHERTZER K W, BACHELER N M, et al, 2020. Meta-analysis reveals artificial reefs can be effective tools for fish community enhancement but are not one-size-fits-all[J]. Frontiers in Marine Science, 7: 282.

[22]
QU K, LIU T W, CHEN L, et al, 2022. Study on transformation and runup processes of tsunami-like wave over permeable fringing reef using a nonhydrostatic numerical wave model[J]. Ocean Engineering, 243: 110228.

[23]
SU S F, MA GANGFENG, HSU T W, 2015. Boussinesq modeling of spatial variability of infragravity waves on fringing reefs[J]. Ocean Engineering, 101: 78-92.

[24]
YANG HONGQIANG, DENG WENFENG, YAN HONG, et al, 2023. Introduction to special issue: environmental and climatic change records in coral reefs of the South China Sea during the Holocene[J]. Palaeogeography, Palaeoclimatology, Palaeoecology, 627: 111727.

[25]
YAO YU, LIU YICHENG, CHEN LONG, et al, 2020. Study on the wave-driven current around the surf zone over fringing reefs[J]. Ocean Engineering, 198: 106968.

[26]
ZHANG QIAOMIN, SHI QI, CHEN GANG, et al, 2006. Status monitoring and health assessment of Luhuitou fringing reef of Sanya, Hainan, China[J]. Chinese Science Bulletin, 51(S2): 81-88.

[27]
ZHENG JINHAI, XU WEI, TAO AIFENG, et al, 2023. Synergy between coastal ecology and disaster mitigation in China: policies, practices, and prospects[J]. Ocean & Coastal Management, 245: 106866.

Outlines

/