Marine Biology

Community structure of rhizosphere eukaryotic microorganisms and its influencing factors of three seagrass species along the coast of Shandong Province

  • YU Zhen ,
  • GUO Xiangrui ,
  • LIU Xuerui ,
  • SUN Hao ,
  • ZHANG Yanying
Expand
  • Ocean School, Yantai University, Yantai 264005, China
ZHANG Yanying. email:

Received date: 2025-01-02

  Revised date: 2025-01-24

  Online published: 2025-02-26

Supported by

National Natural Science Foundation of China(41976147)

Natural Science Foundation of Shandong Province(ZR2024MD008)

Abstract

Seagrass beds, mangroves, and coral reefs are known as the three typical offshore marine ecosystems on Earth. Seagrass beds, which possess extremely high ecological service functions, are hailed as the “lungs of the ocean”. Seagrasses have a relatively high level of primary productivity and play a core role in maintaining the balance and stability of the marine ecosystem. Rhizosphere eukaryotes are crucial for seagrass growth and development, playing a significant role in sustaining seagrass health and facilitating the cycling of nutrients such as carbon and nitrogen within the ecosystem. In this study, high-throughput sequencing technology was employed to investigate the community structure and diversity of eukaryotes in the rhizosphere of Ruppia sinensis, Zostera marina, and Zostera japonica along the coastal areas of Shandong Province. The results showed that seagrass-associated eukaryotes were mainly composed of algae, metazoans, and protozoans, with Chlorophyta and Annelida being the dominant groups. The community structure of eukaryotes in the seagrass rhizosphere was significantly correlated with the total carbon content, nitrite content, ammonium content, and sediment particle size. Co-occurrence network analysis further revealed that the interactions among eukaryotes in Zostera japonica were more complex. This study elucidates the community structure and influencing factors of eukaryotes in the seagrass rhizosphere, laying a theoretical foundation for further exploration of nutrient cycling and energy flow in seagrass ecosystems.

Cite this article

YU Zhen , GUO Xiangrui , LIU Xuerui , SUN Hao , ZHANG Yanying . Community structure of rhizosphere eukaryotic microorganisms and its influencing factors of three seagrass species along the coast of Shandong Province[J]. Journal of Tropical Oceanography, 2025 , 44(5) : 86 -96 . DOI: 10.11978/2025003

海草是生活在海洋中的唯一一类被子植物, 其具有根、茎、叶的分化, 是海洋生态系统的重要组成部分, 主要分布在海湾、潟湖以及其他浅海区域, 形成广袤的水下草甸, 称作海草床(宋增磊, 2023)。海草床生态系统具有较高的生产力水平, 其密集的叶片和茂盛的冠层每年能够产生超过10t的生物量(Turner et al, 2013; Sun et al, 2024), 为众多海洋生物提供营养和栖息地(Orth et al, 2020)。研究揭示, 1英亩的海草床能够满足多达4万尾鱼类和5000万头无脊椎动物的生存需求(Valenti et al, 2023)。此外, 海草床能够有效地减缓波浪的冲击, 捕获水中的悬浮沉积物和颗粒, 从而提高水体的透明度, 为海洋生物创造更加适宜的生活环境(Horinouchi et al, 2013)。总体而言, 海草床对维持海洋生态的健康和稳定发挥着至关重要的作用(Fourqurean et al, 2012; Wahyudi et al, 2020)。然而, 受气候变化和人类活动的影响, 海草床生态系统出现了大面积衰退现象(Xu et al, 2021), 这削弱了海草床的生态服务功能(Xu et al, 2020)。例如, 近岸海域的富营养化现象促进了藻类和其他附生植物的过度增殖, 这些植物不仅与海草竞争光照和生存空间, 而且其生长还可能阻挡阳光到达海草, 从而对海草的生长和繁殖产生负面影响(周毅 等, 2023)。
微生物是海草床的重要组成部分(Conte et al, 2021), 与海草共同构成“海草共生功能体”, 在海草萌芽、开花、结果和衰退等各个生长阶段发挥重要作用(Ugarelli et al, 2017; Cavicchioli et al, 2019; Tarquinio et al, 2019), 且海草生长与微生物的群落组成和代谢能力等密切相关(Milbrandt et al, 2008; 凌娟 等, 2023)。迄今为止, 大多数海草微生物研究集中在原核微生物(Sun et al, 2024; Zhou et al, 2024), 研究揭示海草根际细菌群落组成通常受海草种类和环境因子的影响。海草不同生长时期的原核微生物群落结构存在显著差异(Zhang et al, 2024), 在成熟期, 丙酸菌属(Propionigenium)在海草根际显著富集, 幼苗期则以脱硫球茎菌科(Desulfobulbaceae)为主, 而在衰退期, 硫卵菌属(Sulfurovum)在根际的相对丰度较高, 揭示海草的生长发育与微生物群落密切相关(孙延瑜, 2021)。而海草真核生物的研究相对较少, 海洋真核生物是海洋微食物网中的重要组成部分, 在海洋生态系统中发挥重要作用(Wang et al, 2020)。例如, 硅藻、甲藻等是海洋初级生产的主要贡献者, 并构建了生态系统的基础(Wu et al, 2020), 纤毛虫和鞭毛虫等原生动物捕食细菌和小型原生动物生存, 在生态系统能量循环中也发挥着重要作用(Leles et al, 2017)。已有研究揭示海草叶片表面的原核微生物和真核生物显著相关(Bengtsson et al, 2017), 但海草真核生物群落结构及影响因素仍未被充分阐释。
山东沿海是我国重要的海草分布区之一, 面积达4192.9ha, 分布于威海、东营、烟台等沿海城市。主要有鳗草(Zostera marina)、日本鳗草(Zostera japonica)和红纤维虾形草(Phyllospadix iwatensis)等海草种类(Wan, 2023; 周毅 等, 2023)。本研究利用高通量测序技术, 比较研究山东沿海的中国川蔓草(Ruppia sinensis)、日本鳗草和鳗草根际真核生物的群落组成及其影响因素。中国川蔓草广泛分布于温带和热带滨海、潟湖、盐沼地等浅水水域(Mannino et al, 2015), 具有较强的环境适应能力。日本鳗草通常生长在潮间带及浅潮下带区域, 水温、光照、海浪波动较大, 多数海草难以适应(Short et al, 2011; Mach et al, 2014)。鳗草是一种多年生沉水草本植物, 属于鳗草科(Zosteraceae), 叶片线形, 根状茎匍匐生长。鳗草广泛分布于北半球温带的浅水海域, 如海湾、潟湖和河流入海口, 通常生长在水位较高的低潮至潮下区(Short et al, 2011; 徐少春, 2021), 除了在退潮时部分叶片会暴露出水面, 其他大多数时候沉浸在水中, 生存环境更为稳定。不同海草根际真核生物群落结构的相关研究, 可以作为海草床退化的早期生物指标(Azam et al, 2007; 刘鹏远 等, 2019), 为后续的功能分析提供基础数据支持, 同时为海草床的健康评估和生态修复提供科学依据。

1 材料与方法

1.1 样品收集

根据海草在黄渤海海域的分布情况, 我们在黄河三角洲地区设置了中国川蔓草(Ruppia sinensis)采样点, 在威海天鹅湖设置了鳗草(Zostera marina)和日本鳗草(Zostera japonica)采样点(图1), 于2021年5月海草生长季节采集健康海草根际沉积物样品。根据海草根系, 采集深度约为20cm, 用药匙轻刮采集黏附在根部周围的沉积物样品。每个采样位点设4个平行采样点, 彼此距离超过50m, 结果取平均值。样品采集后置于冰袋上, 运回实验室。用于DNA提取的样品, 于-80℃保存。用于沉积物理化性质分析的样品, 则-20℃保存。
图1 样品采集位点

该图基于自然资源部标准地图服务网站下载的审图号为GS(2019)3266的标准地图制作。图b和图c中五角星为采样位点

Fig. 1 Sample collection sites. The black dots in the figure represent sampling sites

1.2 环境参数检测

海草沉积物的理化参数测定方法参考王天雨(2023)。其中沉积物总碳、总有机碳硝酸盐、亚硝酸盐和铵盐含量采用连续流动元素分析仪测定。硫酸盐、溴盐和氯盐含量则通过离子色谱仪测定, 沉积物样品的平均粒径、中值粒径和粒径分布范围采用激光粒度仪测定。

1.3 DNA提取、PCR扩增和测序

利用E.Z.N.A.土壤DNA试剂盒(Omega Bio-tek, 美国)进行沉积物总DNA抽提。DNA的质量通过1%琼脂糖凝胶电泳检测, DNA浓度和纯度利用NanoDrop2000分光光度计测定。采用正向引物TAReukFWD1F (5-CCAGCASCYGCGGTAATTCC-3)和反向引物TAReukREV3R (5-ACTTTCGTTCTTGATYRA-3), 进行18S rDNA的PCR扩增, PCR反应体系和反应程序参照文献孙延瑜(2021)。利用Illumina Miseq平台进行测序(上海美吉生物医药科技有限公司, 中国)。

1.4 统计分析

使用Fastp软件对原始序列进行质量控制, 利用FLASH进行序列拼接, 利用Qiime 2 流程中DADA2插件对高质量序列进行降噪, 最终获得降噪、无嵌合体的扩增子序列变体(amplicon sequence variants, ASV)及其丰度表, 进行后续的统计分析。利用Blast工具进行序列注释, 并对序列与nt_v20200604数据库进行比对, 设定一致性和覆盖度阈值为0.8。基于ASV丰度表, 利用R语言进行微生物群落多样性和组成分析, 并使用R语言的boot和stats包进行组间差异检验。运用了多种R包和Python脚本进行进一步的统计分析, 包括主坐标分析(principal component analysis, PCoA)、非参数多元方差分析(analysis of similarities, ANOSIM)、典范对应分析(canonical correlation analysis, CCA)、相关性分析热图、置换多元方差分析(permutational multivariate analysis of variance, PERMANOVA)。共现网络图分析则通过Gephi软件完成。

2 结果

2.1 海草根际沉积物环境因子特征

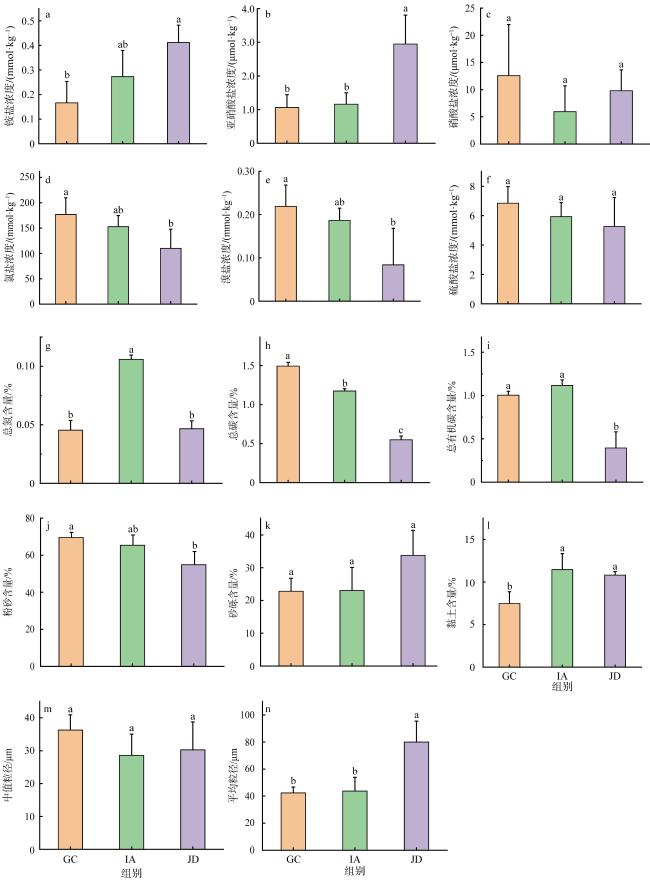
中国川蔓草、鳗草和日本鳗草根际沉积物的环境理化因子分析结果如图2所示。日本鳗草根际沉积物中铵盐浓度最高, 其中亚硝酸盐含量为(2.951±0.987)μmol∙kg-1, 显著高于鳗草和中国川蔓草根际沉积物(图2)。中国川蔓草与日本鳗草根际沉积物中氯盐、溴盐浓度存在显著差异(P<0.05), 而鳗槽沉积物中总氮浓度最高, 显著高于中国川蔓草和日本鳗草根际沉积物(P<0.05)。3种根际沉积物中总碳含量存在显著差异(P<0.05)。中国川蔓草根际沉积物中总碳含量最高, 而鳗草根际沉积物中总氮含量最高, 日本鳗草根际沉积物中总有机碳的浓度较低。沉积物成分分析结果显示, 3种海草根际沉积物中粉砂含量相对较高, 且中国川蔓草根际沉积物与日本鳗草根际沉积物粉砂含量存在显著差异。沉积物粒度分析结果显示, 中国川蔓草根际沉积物和鳗草根际沉积物中平均粒径较低, 而日本鳗草根际沉积物中平均粒径最高(P<0.05) (图2)。
图2 海草根际沉积物环境理化因子分析

GC: 中国川蔓草; IA: 鳗草; JD: 日本鳗草。图中不同小写字母表示显著性差异(ANOVA, P<0.05)

Fig. 2 Environmental factors in seagrass rhizosphere sediment. GC: Ruppia sinensis, IA: Zostera marina, JD: Zostera japonica

2.2 海草根际真核生物多样性分析

基于ASV丰度表, 分析海草根际真核生物的丰富度和多样性, 结果显示3种海草根际沉积物中真核生物多样性差异不显著(表1)。而主坐标分析(PCoA)结果则表明3种海草根际真核生物群落结构存在显著差异(图3), 对3种海草进行两两比较, 中国川蔓草、鳗草和日本鳗草根际沉积物微生物群落结构组间多样性均存在显著差异(ANOSIM, P<0.05)。
表1 海草根际真核生物α多样性指数分析

Tab. 1 Analysis of α diversity indices of eukaryotic microorganisms in the rhizosphere of seagrasses

多样性指数 中国川蔓草 鳗草 日本鳗草 P
Ace指数 243.50±93.61 321.50±196.5 321.80±138.10 0.7351
Chao指数 235.10±92.07 319.90±191.90 316.90±138.30 0.7351
香农指数 2.92±0.8002 3.07±1.18 2.15±1.31 0.5950
辛普森指数 0.13±0.11 0.21±0.19 0.41±0.31 0.1988
图3 海草根际真核生物群落主坐标分析PCoA分析

Fig. 3 Principal Coordinate Analysis (PCoA) of eukaryotic microbial communities in seagrass rhizosphere

2.3 海草根际真核生物群落组成

中国川蔓草、日本鳗草和鳗草根际沉积物中真核生物18S rDNA原始序列经过拼接和质控后共获得843868条优化序列, 优化序列总碱基数320652292个, 共获得1796个ASVs, 隶属于36门103纲227目352科527属777种。
在门水平上, 中国川蔓草根际沉积物优势类群为绿藻门(Chlorophyta, 33.26%)、腹毛动物门(Gastrotricha, 15.68%)、丝足虫门(Cercozoa, 11.46%)、定鞭藻门(Haptista, 6.82%)和节肢动物门(Bacillariophyta, 6.27%) (图4a), 鳗草根际沉积物优势类群为环节动物门(Annelida, 25.52%)、线虫动物门(Nematoda, 19.05%)、绿藻门(Chlorophyta, 14.45%)、硅藻门(Bacillariophyta, 9.11%)(图4a), 日本鳗草根际沉积物优势类群为环节动物门(Annelida, 52.99%)、节肢动物门(Arthropoda, 18.11%)、线虫动物门(Nematoda, 6.86%)、硅藻门(Bacillariophyta, 4.94%)(图4a)。
图4 中国川蔓草、鳗草和日本鳗草根际沉积物真核生物群落结构及主要类群的相对丰度组间差异分析

a. 门水平的群落组成; b. 属水平的群落组成; c. 门水平的组间差异分析; d. 属水平的组间差异分析

Fig. 4 Analysis of eukaryotic community composition and relative abundance of major groups in rhizosphere sediments of Ruppia sinensis, Zostera marina and Zostera japonica. (a) Community composition at phylum level; (b) community composition at genus level; (c) intergroup difference analysis at phylum level; (d) intergroup difference analysis at genus level

在属水平, 中国川蔓草根际沉积物优势类群为Lepidodermella属、Heterocapsa属、Neomysis属、Pavlova属和Heterolepidoderma属, 鳗草根际沉积物优势属为Chone属、Daptonema属、石莼属(Ulva)、Lysilla属和Amphicorina属, 而日本鳗草根际沉积物优势属为Cirriformia属、Cytheromorpha属、Selenidium属、石莼属(Ulva)和Daptonema属(图4b)。
在门水平对3种海草根际真核生物群落进行组间差异分析, 结果如图4c所示: 环节动物在鳗草和日本鳗草根际中存在明显差异(P<0.05), 其相对丰度分别为52.99%和25.52%; 绿藻门在中国川蔓草、日本鳗草和鳗草根际沉积物中存在显著差异, 其相对丰度分别为33.26%、14.45%、4.15%。腹毛动物门和定鞭藻门在中国川蔓草根际沉积物中相对丰度最高, 其相对丰度为15.68%和6.82%; 在日本鳗草根际沉积物中, 顶复门和红藻门的相对丰度最高, 分别为2.57%和4.33%; 在鳗草根际沉积物中, 顶复门和红藻门的相对丰度分别为2.34%和1.17%。在属水平对3种海草根际真核生物群落进行组间差异分析(图4d), Lepidodermella属、Pavlova属和Microchloropsis属在中国川蔓草根际沉积物中的相对丰度显著高于日本鳗草和鳗草; Daptonema属、石莼属(Ulva)、Eurytemora属和齿状藻属(Odontella)在鳗草根际沉积物中的相对丰度显著高于中国川蔓草和日本鳗草; Cirriformia属、Cytheromorpha属和Selenidium属在日本鳗草根际沉积物中显著富集。

2.4 海草根际真核生物生态网络分析

分别选取中国川蔓草、日本鳗草和鳗草样品中总丰度前100的ASVs, 进行斯皮尔曼(Spearman)秩相关分析并筛选相关系数|ρ|>0.6, 且显著水平P<0.05的数据构建相关性网络, 结果显示中国川蔓草样本和鳗草样本海草微生物类群的节点数量、边数量较为相似(图5a、5b), 而日本鳗草样品中的边数量较中国川蔓草样本和鳗草高(图5c), 说明日本鳗草样品之间的互作关系更加复杂(图5)。3种样品的正相关关系(分别为80.85%、95.96%和87.42%)均高于负相关关系(分别为19.15%、4.04%和12.58%)。
图5 3种海草根际真核生物群落在ASV水平上的共现性网络图

a. 中国川蔓草; b. 鳗草; c. 日本鳗草。 红色线表示正相关关系, 绿色线表示负相关关系

Fig. 5 Co-occurrence network diagrams of eukaryotic communities of different seagrass at ASV level. (a) Ruppia sinensis; (b) Zostera marina; (c) Zostera japonica. Red lines indicate positive correlations, green lines indicate negative correlations

2.5 海草根际真核生物群落结构与环境因子间的关系

采用典范对应分析(CCA)探究环境因子对海草根际真核生物群落结构的影响, 结果显示, 环境因子可以解释36.04%的真核生物群落的变化(图6a)。海草根际沉积物中铵盐浓度、亚硝酸盐浓度、硝酸盐浓度、溴盐浓度、平均粒径、总有机碳影响海草根际真核生物群落组成, 这6个因子在CCA1和CCA2轴上共同解释了真核生物群落变化的36.04%, 其中在CCA1轴上解释度为19.90%, 在CCA2轴上解释度为16.14%。总有机碳含量对鳗草样本的影响最大, 而日本鳗草样本与环境因子中亚硝酸盐浓度、铵盐浓度和粒径大小有着密切联系。通过曼特尔检验分析主要真核生物类群与环境因子之间的相关性, 结果显示, 在中国川蔓草样本中, 主要真核生物类群与环境因子无相关性(图6b), 而铵盐、亚硝酸盐、硝酸盐与总氮、硫酸盐和氯盐显著正相关, 总有机碳与溴盐显著负相关。在鳗草样本中, 线虫动物门(Nematoda)与氯盐浓度显著相关(图6c), 铵盐浓度与黏土含量显著正相关, 硫酸盐与氯盐显著正相关, 硫酸盐与溴盐也显著正相关, 中值粒径、平均粒径与总碳含量显著负相关。在日本鳗草样本中, 环节动物门(Annelida)与铵盐浓度显著正相关, 节肢动物门(Arthropoda)与氯盐浓度、硫酸盐浓度显著正相关, 线虫动物门与总碳含量显著正相关; 氯盐与硫酸盐、氯盐与溴盐、硫酸盐与溴盐显著正相关, 总碳含量与中值粒径、平均粒径显著负相关(图6d) (P<0.05)。
图6 海草根际真核生物群落与环境因子之间的关系

a. 海草根际真核生物与环境因子的CCA分析; b、c、d分别为中国川蔓草、鳗草和日本鳗草主要真核生物类群与环境因子的相关性分析

Fig. 6 Relationships between seagrass rhizosphere eukaryotic microbial communities and environmental factors. (a) CCA analysis of seagrass rhizosphere eukaryotic microorganisms and environmental factors; (b), (c), and (d) are the correlation coefficients between the environmental factors and major eukaryotic species in the rhizosphere of Ruppia sinensis, Zostera marina and Zostera japonica

3 讨论

在海洋生态系统中, 真核生物扮演着至关重要的角色, 包括生产者、分解者和消费者, 对维持海洋生态系统健康和稳定起着重要作用, 并在全球海洋的生物地球化学循环中发挥着核心功能(Fulton et al, 2012; Worden et al, 2015; Oikonomou et al, 2015)。海草根际真核生物多样性和群落结构受到海草种类、生态功能等多种因素的影响。已有研究揭示, 海草根际原核微生物的核心物种具有一致性, 但不同海域或相同海域不同海草物种根际原核微生物群落结构存在差异, 主要是海草根系分泌物的不同和环境因子的差异导致的(Cúcio et al, 2016; 孙延瑜 等, 2021)。本研究中, 3种海草根际真核生物群落多样性指数无显著差异, 然而群落结构存在显著性差异, 3种海草根际优势真核生物类群显著不同, 且这些优势类群的丰度也存在显著差异, 如在中国川蔓草根际沉积物中, Pavlova属和Microchloropsis属其相对丰度明显高于日本鳗草和鳗草, 而Selenidium属和Cirriformia属在日本鳗草根际沉积物中显著的富集。Pavlova属和Microchloropsis属为单细胞藻类, 能够进行光合作用, 是海洋食物网中重要的初级生产者, 还是许多海洋动物的食物来源, 对食物网和食物链的贡献的能量和营养供应扮演着关键的角色(Cattolico et al, 1990)。Selenidium属和Cirriformia属之间存在寄生关系, Selenidium属在日本鳗草根际沉积物中的显著富集可能会改变宿主Cirriformia属的行为和生态位, 进而影响海草生态系统中的食物网和能量流动(Schrével et al, 2016; Rueckert et al, 2017)。因此, 海草根际真核生物群落结构与海草种类之间的关系更为复杂, 海草根际真核生物群落结构不仅受到海草自身代谢塑造, 还受到真核生物之间复杂的相互作用关系和海草生存环境的影响。
海草根际真核生物的群落结构与环境因子的紧密联系使其成为生态环境改变的敏感指示器, 能够反映出环境变化的早期信号(薛曌 等, 2023)。本研究揭示了海草根际真核生物群落结构与根际沉积物中铵盐浓度、亚硝酸盐浓度、平均粒径和总有机碳含量显著相关。氮元素是藻类生长的必需元素, 也是真核生物细胞构成的重要物质基础。Paterson等(2001)研究指出, 在海洋潮间带表层沉积物中, 光合自养生物如硅藻与铵的浓度密切相关。藻类对环境中氮存在竞争, 导致根际沉积物中的藻类组成随氮浓度变化而发生改变(Michalski et al, 2021; 刘鹏远, 2022), 进而影响不同海草根际微生物群落结构的差异。本研究发现, 日本鳗草根际沉积物中铵盐和亚硝酸盐的浓度显著高于其他两种海草, 表明该区域氮循环较为活跃, 铵盐和亚硝酸盐浓度升高可能促进了藻类多样性的增加(Liu et al, 2020)。相比之下, 中国川蔓草根际沉积物中铵盐浓度较低, 表明其根际能够有效吸收铵盐作为氮源(Ogden, 2006)。环节动物门对铵盐浓度具有依赖性, 它们通过摄取含铵盐的沉积物来获取营养, 在日本鳗草样品中, 环节动物门与铵盐之间存在显著正相关性, 表明环节动物门的分布和丰度可能受到沉积物中铵盐浓度的影响(张晓珂 等, 2018)。海草根际真核生物群落还会受到沉积物中氧气供应的影响, 在日本鳗草生长环境中, 潮间带的沙质或粉砂质土壤中较大的沉积物粒径有利于海草根部氧气的供应(刘鹏远 等, 2019), 海草根部可释放大量可溶解碳并能捕获表层水体中有机物颗粒, 而中国川蔓草和鳗草根系发达, 使得海草床沉积物中富含碳元素。因此其根际沉积物中碳含量和总有机碳含量显著高于日本鳗草(Sarkar et al, 2016; Sardans et al, 2017; 于培, 2017; Bartoszek, 2023)。这些结果表明, 海草根际真核生物群落结构差异不仅与海草种类有关, 还受到环境因子的影响。
海草根际真核生物在海草床生态系统中营养流动和元素循环中有重要作用, 进而影响海草生态系统的稳定性和功能。日本鳗草中线虫动物门与总碳含量显著正相关, 表明线虫在海草生态系统中作为碳循环关键参与者的角色, 它们通过摄食微生物和有机碎屑, 将有机碳转化为无机碳, 进而影响食物网结构和碳流动, 这一过程对于维持生态系统的稳定性和功能至关重要(Schratzberger et al, 2018)。此外, 已有研究揭示线虫动物门的神经系统中, 氯离子通道在神经信号传递中扮演着重要角色, 在鳗草样本中, 线虫动物门与氯盐含量显著正相关, 谷氨酸门控氯离子通道在调节线虫的神经活动中起到关键作用(Trombetta et al, 2020)。因此, 海草根际真核生物群落的结构和功能与环境因子紧密相关, 海草根际真核生物在海草床生态系统中有机物的矿化、营养流动和元素循环中起到关键作用, 这些真核生物的活动影响着海草生态系统的稳定性和功能。尽管本研究揭示了海草根际真核生物群落与环境因子之间的联系, 但仍存在一些局限性。由于样本数量有限, 可能无法全面反映海草种类的微生物特征。此外, 研究主要关注了微生物群落的结构与环境因子的相关性, 而对于微生物功能的直接验证尚需进一步试验支持。未来的研究可以结合长期监测数据和功能验证试验, 进一步探讨微生物群落的动态变化及其对生态系统功能的具体贡献。

4 结论

本研究对山东近海3种海草——中国川蔓草、日本鳗草和鳗草沉积物的真核群落进行研究, 共获得1796个ASVs, 隶属36门103纲227目352科527属。3种海草根际真核生物群落存在显著差异, 其中, 绿藻门和腹毛动物门是中国川蔓草根际主要真核生物类群, 环节动物和节肢动物是日本鳗草根际真核生物的优势类群, 而环节动物门和线虫动物门在鳗草根际的丰度较高。与中国川蔓草和鳗草相比, 日本鳗草根际沉积物中真核生物之间的互作关系更加复杂。铵盐、亚硝酸盐、溴盐和沉积物粒径是影响海草根际真核生物群落结构变化的主要驱动因子。研究结果有助于理解真核生物在海草根际的分布特征及对海草生态系统的影响, 对进一步保护和修复海草床提供理论依据。然而, 本研究也存在样本量有限和研究区域的局限性。未来的研究需要扩大样本量并扩展研究区域, 以进一步验证本研究的发现。
[1]
凌娟, 梁童茵, 岳维忠, 等, 2023. 热带海草泰来草沉积物真菌的群落结构、功能与分子生态网络研究[J]. 热带海洋学报, 42(5): 64-75.

LING JUAN, LIANG TONGYIN, YUE WEIZHONG, et al, 2023. Community structure, function, and molecular ecological network of fungi in the tropical seagrass Thalassia hemprichii sediment[J]. Journal of Tropical Oceanography, 42(5): 64-75 (in Chinese with English abstract).

[2]
刘鹏远, 2022. 黄渤海日本鳗草沉积物三域微生物的分布特征、生态功能及驱动因素[D]. 烟台: 中国科学院大学(中国科学院烟台海岸带研究所).

LIU PENGYUAN, 2022. Studies on the microorganisms of three domains associated with seagrass (Zostera japonica) meadows: distributions, ecological functions, and environmental drivers[D]. Yantai: Yantai Institute of Coastal Zone Research, Chinese Academy of Sciences (in Chinese with English abstract).

[3]
刘鹏远, 张海坤, 陈琳, 等, 2019. 黄渤海海草分布区日本鳗草根际微生物群落结构特征及其功能分析[J]. 微生物学报, 59(8): 1484-1499.

LIU PENGYUAN, ZHANG HAIKUN, CHEN LIN, et al, 2019. Rhizosphere microbial community structure and function of Zostera japonica in the distribution area of seagrass beds in the Yellow Sea and Bohai Sea[J]. Acta Microbiologica Sinica, 59(8): 1484-1499 (in Chinese with English abstract).

[4]
宋增磊, 2023. 微生物在黄河三角洲互花米草与日本鳗草生态竞争中的作用及机制分析[D]. 烟台: 中国科学院大学(中国科学院烟台海岸带研究所).

SONG ZENGLEI, 2023. Analysis of the roles and mechanisms of microorganisms in the ecological competition between Spartina alterniflora and Zostera japonica in the yellow river delta[D]. Yantai: Yantai Institute of Coastal Zone Research, Chinese Academy of Sciences (in Chinese with English abstract).

[5]
孙延瑜, 2021. 威海泻湖海草床共附生微生物群落结构特征及硫入侵过程[D]. 烟台: 中国科学院大学(中国科学院烟台海岸带研究所).

SUN YANYU, 2021. Characteristics of microbial community structure and sulfur invasion process in seagrass bed of Weihai lagoon[D]. Yantai: Yantai Institute of Coastal Zone Research, Chinese Academy of Sciences (in Chinese with English abstract).

[6]
孙延瑜, 宋增磊, 刘鹏远, 等, 2021. 威海天鹅湖大叶藻(Zostera marina)与日本鳗草(Zostera japonica)根际微生物群落结构及其驱动机制[J]. 微生物学报, 61(9): 2675-2692.

SUN YANYU, SONG ZENGLEI, LIU PENGYUAN, et al, 2021. Rhizosphere microbial community structure and driving mechanism of Zostera marina and Zostera japonica in Swan Lake, Weihai[J]. Acta Microbiologica Sinica, 61(9): 2675-2692 (in Chinese with English abstract).

[7]
王天雨, 2023. 山东东部沿海两种海草根际微生物群落结构及潜在功能[D]. 烟台: 烟台大学.

WANG TIANYU, 2023. Rhizosphere microbial community structure and potential function of two species of seagrass in the eastern coast of Shandong Province[D]. Yantai: Yantai University (in Chinese with English abstract).

[8]
徐少春, 2021. 黄渤海鳗草(Zostera marina)种群特征及生态修复研究[D]. 青岛: 中国科学院大学(中国科学院海洋研究所).

XU SHAOCHUN, 2021. Population characteristics and ecological restoration of the seagrass Zostera marina L. in the Yellow Sea and Bohai Sea[D]. Qingdao: Institute of Oceanology, Chinese Academy of Sciences (in Chinese with English abstract).

[9]
薛曌, 王兰, 孟华旦尚, 等, 2023. 色林错表层水体真核微生物多样性和群落分布格局[J]. 冰川冻土, 45(5): 1652-1666.

DOI

XUE ZHAO, WANG LAN, MENG HUADANSHANG, et al, 2023. Diversity and community distribution pattern of eukaryotic microbes in surface water of Selin Co[J]. Journal of Glaciology and Geocryology, 45(5): 1652-1666 (in Chinese with English abstract).

DOI

[10]
于培, 2017. 鳗草对沉积物微生物群落的影响及其氮代谢的初步研究[D]. 济南: 山东大学.

YU PEI, 2017. The influence of Zostera marina on the microbial communities and the preliminary study of nitrogen metabolism[D]. Jinan: Shandong University (in Chinese with English abstract).

[11]
张晓珂, 梁文举, 李琪, 2018. 我国土壤线虫生态学研究进展和展望[J]. 生物多样性, 26(10): 1060-1073.

DOI

ZHANG XIAOKE, LIANG WENJU, LI QI, 2018. Recent progress and future directions of soil nematode ecology in China[J]. Biodiversity Science, 26(10): 1060-1073 (in Chinese with English abstract).

DOI

[12]
周毅, 江志坚, 邱广龙, 等, 2023. 中国海草资源分布现状、退化原因与保护对策[J]. 海洋与湖沼, 54(5): 1248-1257.

ZHOU YI, JIANG ZHIJIAN, QIU GUANGLONG, et al, 2023. Distribution status, degradation reasons and protection countermeasures of seagrass resources in China[J]. Oceanologia et Limnologia Sinica, 54(5): 1248-1257 (in Chinese with English abstract).

[13]
AZAM F, MALFATTI F, 2007. Microbial structuring of marine ecosystems[J]. Nature Reviews Microbiology, 5(10): 782-791.

DOI PMID

[14]
BARTOSZEK L, 2023. The effect of natural organic matter (NOM) on the distribution and resources of mobile phosphorus in the bottom sediments of small retention reservoirs[J]. Aquatic Sciences, 85(4): 107.

[15]
BENGTSSON M M, BÜHLER A, BRAUER A, et al, 2017. Eelgrass leaf surface microbiomes are locally variable and highly correlated with epibiotic eukaryotes[J]. Frontiers in Microbiology, 8: 1312.

DOI PMID

[16]
CATTOLICO R A, GOËR S L D, 1990. Analysis of chloroplast evolution and phylogeny: A Molecular Approach[C]// GREEN J C, LEADBEATER B S C, DIVER W L. The Chromophyte Algae: Problems and Perspectives. Oxford: Oxford University Press: 85-100.

[17]
CAVICCHIOLI R, RIPPLE W J, TIMMIS K N, et al, 2019. Scientists’ warning to humanity: microorganisms and climate change[J]. Nature Reviews Microbiology, 17(9): 569-586.

[18]
CONTE C, ROTINI A, MANFRA L, et al, 2021. The seagrass holobiont: what we know and what we still need to disclose for its possible use as an ecological indicator[J]. Water, 13(4): 406.

[19]
CÚCIO C, ENGELEN A H, COSTA R, et al, 2016. Rhizosphere microbiomes of European + seagrasses are selected by the plant, but are not species specific[J]. Frontiers in Microbiology, 7: 440.

DOI PMID

[20]
FOURQUREAN J W, DUARTE C M, KENNEDY H, et al, 2012. Seagrass ecosystems as a globally significant carbon stock[J]. Nature Geoscience, 5(7): 505-509.

[21]
FULTON J M, ARTHUR M A, FREEMAN K H, 2012. Black Sea nitrogen cycling and the preservation of phytoplankton δ15N signals during the Holocene[J]. Global Biogeochemical Cycles, 26(2): GB2030.

[22]
HORINOUCHI M, MIZUNO N, JO Y, et al, 2013. Habitat preference rather than predation risk determines the distribution patterns of filefish Rudarius ercodes in and around seagrass habitats[J]. Marine Ecology Progress Series, 488: 255-266.

[23]
LELES S G, MITRA A, FLYNN K J, et al, 2017. Oceanic protists with different forms of acquired phototrophy display contrasting biogeographies and abundance[J]. Proceedings Biological Sciences, 284(1860): 20170664.

[24]
LIU LEMIAN, WANG SHANSHAN, CHEN JIANFENG, 2020. Hysteretic response of microbial eukaryotic communities to gradually decreased nutrient concentrations in eutrophic water[J]. Microbial Ecology, 79(4): 815-822.

DOI PMID

[25]
MACH M E, WYLLIE-ECHEVERRIA S, CHAN KAI M A, 2014. Ecological effect of a nonnative seagrass spreading in the Northeast Pacific: a review of Zostera japonica[J]. Ocean & Coastal Management, 102: 375-382.

[26]
MANNINO A M, MENÉNDEZ M, OBRADOR B, et al, 2015. The genus Ruppia L. (Ruppiaceae) in the Mediterranean region: an overview[J]. Aquatic Botany, 124: 1-9.

[27]
MICHALSKI R, PECYNA-UTYLSKA P, KERNERT J, 2021. Determination of ammonium and biogenic amines by ion chromatography. A review[J]. Journal of Chromatography A, 1651: 462319.

[28]
MILBRANDT E C, GREENAWALT-BOSWELL J, SOKOLOFF P D, 2008. Short-term indicators of seagrass transplant stress in response to sediment bacterial community disruption[J]. Botanica Marina, 51(2): 103-111.

[29]
OGDEN J, 2006. Seagrasses: biology, ecology and conservation[J]. Marine Ecology, 27(4): 431-432.

[30]
OIKONOMOU A, FILKER S, BREINER H W, et al, 2015. Protistan diversity in a permanently stratified meromictic lake (Lake Alatsee, SW Germany)[J]. Environmental Microbiology, 17(6): 2144-2157.

DOI PMID

[31]
ORTH R J, LEFCHECK J S, MCGLATHERY K S, et al, 2020. Restoration of seagrass habitat leads to rapid recovery of coastal ecosystem services[J]. Science Advances, 6(41): eabc6434.

[32]
PATERSON D M, HAGERTHEY S E, STUDIES E, 2001. Microphytobenthos in contrasting coastal ecosystems: Biology and dynamics[M]// REISEK,ed.. Ecological comparisons of sedimentary shores, ecological studies. Berlin: Springer-Verlag: 105-125.

[33]
RUECKERT S, HORÁK A, 2017. Archigregarines of the English channel revisited: new molecular data on Selenidium species including early described and new species and the uncertainties of phylogenetic relationships[J]. PLoS One, 12(11): e0187430.

[34]
SARDANS J, BARTRONS M, MARGALEF O, et al, 2017. Plant invasion is associated with higher plant-soil nutrient concentrations in nutrient-poor environments[J]. Global Change Biology, 23(3): 1282-1291.

DOI PMID

[35]
SARKAR A, CHAKRABORTY P, NAGENDER NATH B, 2016. Distribution and nature of sedimentary organic matter in a tropical estuary: an indicator of human intervention on environment[J]. Marine Pollution Bulletin, 102(1): 176-186.

DOI PMID

[36]
SCHRATZBERGER M, INGELS J, 2018. Meiofauna matters: The roles of meiofauna in benthic ecosystems[J]. Journal of Experimental Marine Biology and Ecology, 502: 12-25.

[37]
SCHRÉVEL J, VALIGUROVÁ A, PRENSIER G, et al, 2016. Ultrastructure of Selenidium pendula, the type species of archigregarines, and phylogenetic relations to other marine api complexa[J]. Protist, 167(4): 339-368.

[38]
SHORT F T, POLIDORO B, LIVINGSTONE S R, et al, 2011. Extinction risk assessment of the world’s seagrass species[J]. Biological Conservation, 144(7): 1961-1971.

[39]
SUN HAO, WANG TIANYU, LIU SHUAI, et al, 2024. Novel insights into the rhizosphere and seawater microbiome of Zostera marina in diverse mariculture zones[J]. Microbiome, 12(1): 27.

[40]
TARQUINIO F, HYNDES G A, LAVEROCK B, et al, 2019. The seagrass holobiont: understanding seagrass-bacteria interactions and their role in seagrass ecosystem functioning[J]. FEMS Microbiology Letters, 366(6): fnz057.

[41]
TROMBETTA T, VIDUSSI F, ROQUES C, et al, 2020. Marine microbial food web networks during phytoplankton bloom and non-bloom periods: warming favors smaller organism interactions and intensifies trophic cascade[J]. Frontiers in Microbiology, 11: 502336.

[42]
TURNER T R, JAMES E K, POOLE P S, 2013. The plant microbiome[J]. Genome Biology, 14(6): 209.

DOI PMID

[43]
UGARELLI K, CHAKRABARTI S, LAAS P, et al, 2017. The seagrass holobiont and its microbiome[J]. Microorganisms, 5(4): 81.

[44]
VALENTI J L, GROTHUES T M, ABLE K W, 2023. Subtidal fish habitat in a temperate lagoonal estuary: comparison of salt marsh creeks, sand, and seagrass[J]. Estuaries and Coasts, 46(1): 246-264.

[45]
WAHYUDI A J, RAHMAWATI S, IRAWAN A, et al, 2020. Assessing carbon stock and sequestration of the tropical seagrass meadows in Indonesia[J]. Ocean Science Journal, 55(1): 85-97.

[46]
WAN DONGJIE, 2023. Research progress on degradation factors and restoration technologies of seagrass beds[J]. OAJRC Environmental Science, 4(1): 40-44.

[47]
WANG YAPING, LI GUIHAO, SHI FEI, et al, 2020. Taxonomic diversity of pico-/nanoeukaryotes is related to dissolved oxygen and productivity, but functional composition is shaped by limiting nutrients in eutrophic coastal oceans[J]. Frontiers in Microbiology, 11: 601037.

[48]
WORDEN A Z, FOLLOWS M J, GIOVANNONI S J, et al, 2015. Rethinking the marine carbon cycle: factoring in the multifarious lifestyles of microbes[J]. Science, 347(6223): 1257594.

[49]
WU PENGFEI, LI DONGXU, KONG LINGFEN, et al, 2020. The diversity and biogeography of microeukaryotes in the euphotic zone of the northwestern Pacific Ocean[J]. Science of The Total Environment, 698: 134289.

[50]
XU SHAOCHUN, QIAO YONGLIANG, XU SHUAI, et al, 2021. Diversity, distribution and conservation of seagrass in coastal waters of the Liaodong Peninsula, North Yellow Sea, northern China: Implications for seagrass conservation[J]. Marine Pollution Bulletin, 167: 112261.

[51]
XU SHAOCHUN, XU SHUAI, ZHOU YI, et al, 2020. Sonar and in situ surveys of eelgrass distribution, reproductive effort, and sexual recruitment contribution in a eutrophic bay with intensive human activities: Implication for seagrass conservation[J]. Marine Pollution Bulletin, 161: 111706.

[52]
ZHANG XIA, WU YUNCHAO, LIU SONGLIN, et al, 2024. Plant growth and development of tropical seagrass determined rhizodeposition and its related microbial community[J]. Marine Pollution Bulletin, 199: 115940.

[53]
ZHOU WEIGUO, LING JUAN, SHEN XIAOMEI, et al, 2024. Inoculation with plant growth-promoting rhizobacteria improves seagrass Thalassia hemprichii photosynthesis performance and shifts rhizosphere microbiome[J]. Marine Environmental Research, 193: 106260.

Outlines

/