Orginal Article

Simulation of CO2-EOR-S in an offshore sandstone reservoir with strong bottom water

  • LIU Xueyan , 1, 2 ,
  • LI Pengchun 1 ,
  • ZHOU Di 1 ,
  • LU Jiemin 3 ,
  • CHEN Guanghao 1
Expand
  • 1. CAS Key Laboratory of Ocean and Marginal Sea Geology, South China Sea Institute of Oceanology, Guangzhou 510301, China
  • 2. University of Chinese Academy of Sciences, Beijing 100049, China
  • 3. Bureau of Economic Geology, The University of Texas at Austin, Texas 78758, USA
Corresponding author: LI Pengchun. E-mail:

Received date: 2017-01-06

  Request revised date: 2017-03-28

  Online published: 2017-09-22

Supported by

National Natural Science Foundation of China (41372256)

KeyLogic Project of U.S. Department of Energy

Copyright

热带海洋学报编辑部

Abstract

CO2 Enhanced Oil Recovery and Sequestration (CO2-EOR-S) is currently the most effective and economic technology for reducing CO2 emission from fossil fuels. To evaluate the CO2-EOR-S potential of M10 oil reservoir in the HZ21-1 oil field, we conducted a compositional simulation using Petrel and CMG-GEM reservoir simulators. We constructed a geological (including structures and facies) model first and then matched the oil production history and simulated CO2 injection in nine cases with different well patterns and bottom pressures. The results show that 1) the ratio of case number under miscible, near-miscible cases and immiscible conditions is 4︰3︰2, among which miscible flooding has the highest recovery factor (5.48%~8.73%) than the others and the Miscible Minimum Pressure (MMP) in M10 reservoir is about 31 MPa so that CO2 and oil could be near-miscible with oil under the condition of initial formation pressure; 2) the best case after CO2 injected five years is two injection wells with injection pressure at about 41 MPa, increasing oil recovery factor and cumulative oil production from 34.7% to 43.4% and 2.22×106 to 2.78×106 m3 respectively, while decreasing water cut from 96% to 59% with CO2 storage volume of 6.7 Mt, which takes 73% of the whole CO2 injection volume (9.2 Mt), and having a rate of CO2 storage on 1.33×106 t·a-1; 3) when CO2 was injected through one single injection well, the effects on oil recovery factor and CO2 storage volume would be a negative relation while it would turn to a positive relation through two injection wells, which means more injection wells would increase oil recovery factor and carbon storage volume synchronously.

Cite this article

LIU Xueyan , LI Pengchun , ZHOU Di , LU Jiemin , CHEN Guanghao . Simulation of CO2-EOR-S in an offshore sandstone reservoir with strong bottom water[J]. Journal of Tropical Oceanography, 2017 , 36(5) : 72 -82 . DOI: 10.11978/2017005

二氧化碳 (CO2) 向大气中的大量排放引起空气污染和全球气候变化, 严重威胁着人类赖以生存的地球环境, 成为人类共同关注的热点问题 (IPCC, 2014); 气候变化《巴黎协定》于2016年11月4日正式生效, 开启了全球气候治理历史性新阶段。
国内外研究表明, 地质封存是实现CO2大规模减排的最有效措施之一 (周蒂, 2005)。CO2 提高原油采收率 (CO2-EOR)技术既能实现CO2封存又可增产原油, 是目前较为理想的CO2地质利用与封存的选择 (Ettehadtavakkol et al, 2014; Hill et al, 2013; Kuuskraa et al, 2013; 陈澜 等, 2014; 孙枢, 2006; 张晓宇 等, 2006; 周蒂, 2005)。CO2-EOR已在西方国家得到广泛的研究和应用, 尤其在美国, 技术成熟, 应用非常广泛 (Azzolina et al, 2015; Kuuskraa et al, 2014; 秦积舜 等, 2015; 祝春生 等, 2007; 沈平平 等, 2007)。目前国内CO2-EOR研究和矿场应用主要集中在陆上难于开发的低渗透油田、小断块油田、稠油油藏等复杂类型油田 (Jiao et al, 2014; Zhao et al, 2014; 毕凤琴 等, 2011; 郝敏 等, 2010; 刘恒 等, 1995; 罗二辉 等, 2013; 沈平平 等, 2009), 而对于南海北部珠江口盆地海上砂岩油田, 普遍具有储层渗透性好、原油轻质、边底水活动强烈、一次采收率较高等特点 (《中国油气田开发志》总编纂委员会, 2013), 但开发后期高含水率影响了开发效果, 加上海上平台限制以及无气源条件等, 注气驱等三次采油技术一直未开展研究。如何高效开发此类油藏, 进一步提高原油采收率, 是当前油田开发所面临的难题。
本文运用地质建模和组分模型模拟技术, 以珠江口盆地惠州21-1油田M10油藏为例, 首次进行强底水油藏注CO2混相能力评价、注CO2流体状态方程拟合以及不同方案注采参数优化、合理方式优选, 评价提高采收率和碳封存潜力, 探讨海上注CO2高效开发老油藏和进行碳封存减排的技术可能性和策略。

1 油藏地质特征与开发现状

惠州21-1油田是一个发育在基底隆起上的披覆背斜油藏, 构造形态完整。有两套含油气层系, 上部两层珠江组砂岩构造凝析气藏和下部7个珠江组及珠海组砂岩构造油藏 (《中国油气田开发志》总编纂委员会, 2013; 朱伟林 等, 2010)。本文研究对象M10层为其中埋藏较深、砂体最厚 (平均层厚约40.2m) 的一个强底水油藏。
M10层顶面构造如图1所示, 构造总体受北部断层控制, 北翼由圈闭变成向断层敞开, 南翼边部构造线向内有些收敛。M10单元的砂岩均为海滩相砂岩, 由向上变细的大型-平缓交错层理的砂砾岩相与向上变细的砂岩相叠加组成, 呈厚层席状分布, 砂岩厚度占91%, 为珠江组最早的一个沉积单元, 厚度变化较稳定 (图2)。平均渗透率0.205μm2, 平均孔隙度15.3%。岩石偏亲水, 油水界面2961m, 含油高度22.5m, 原始地层压力29.83MPa, 地层温度132℃; 地层原油API重度 (API°) 为44.5, 地层原油密度0.747g∙cm-3, 黏度0.32 mPa∙s, 属轻质原油 (《中国油气田开发志》总编纂委员会, 2013)。
M10层为惠州21-1油田的主力油层之一, 地质储量约6.37×106m3, 占全油田的33%; 油层有效厚度大(约20m), 是油田开发的重点油层, 于1990年9月13日正式开始生产。开发初期通过调层补孔、侧钻水平井等措施, 产油稳定, 采油速度一度达到19.34% (1993年), 1997年上升到23.18%; 后停止生产, 直到2000年恢复生产, 2003年时仍保持无水自喷; 到2005年, 采收率达到29.7%, 累计产油量为1.89×106m3; 生产过程中有过短暂注水, 但因注水效果不明显随即停止, 主要依靠储层自身的强底水能量供给保持自然开采(《中国油气田开发志》总编纂委员会, 2013)。
Fig. 1 Top map with contour line of M10 reservoir

图1 M10层顶面构造等值线图(《中国油气田开发志》总编纂委员会, 2013)

Fig. 2 NS reservoir profile (a) and WE cross well section (b) with Gamma Ray (GR) logs for M10 reservoir

图2 M10层近南北向油藏剖面 (a) 和近东西向过井沉积剖面图 (b)
井点位置参见图1 (《中国油气田开发志》总编纂委员会, 2013)

2 研究方法

静态地质模型建立部分利用了斯伦贝谢公司开发的Petrel软件。Petrel是集地质、地球物理、石油工程等数据为一体的, 可用于地质建模、钻井数据解释、油藏开发等的专业一体化软件, 主要流程包括数据准备、建立构造模型以及相控岩性和属性模型。实践证明, 采用这种流程方法建立的属性模型更符合地质规律和认识 (Schlumberger, 2015), 因此该软件也是现阶段石油与天然气行业应该最为广泛的一款建模工具。
CO2驱油及地质封存动态模拟则利用加拿大数值模拟集团 (CMG) 开发的组分模型 (GEM) 进行。GEM基于Peng-Robinson或Soave-Redlich-Kwong状态方程预测油相和气相的相平衡组成和密度, 应用Jossi、Stiel和Thodos方程预测油和气的黏度, 可用于模拟开发过程中流体组分对采收率的影响, 可以模拟沥青、煤层气以及包括酸性气体和CO2在内的多种气体捕集的地球化学过程 (Computer Modelling Group Ltd., 2015)。GEM模型网格中的油、气、水三相流体组分的物质平衡函数 (ψ) 计算如下:
式中o为油相, g为气相, w为水相; i表示组分; 时间n表示过去, n+1表示现在; m在时间n时为显式网格块, 在n+1时为全隐式网格块; T为渗透性, 为油相在m网格块的渗透性差, 为气相在m的渗透性差, 为水相在m网格块的渗透性; yijj相中组分i的摩尔分数, 是网格块m里油相中组分i的摩尔分数, 是网格块m里气相中组分i的摩尔分数; Δp为压差, 为目前压差; γ为比重或流动方程中的重力项, 为网格块m中油相的比重, 为网格块m中气相的比重, 为网格块m中水相的比重; ΔD为深度差; 为网格块m中的油气毛管力差, 为网格块m中的油水毛管力差; mi的注采比; V为网格体积; Δt为时间差; nc为组分数; Ni (i=1, ... , nc)i组分的摩尔数, 是孔隙度及油、气组分的密度和饱和度的函数, 是水的摩尔数, 是孔隙度及水的密度和饱和度的函数, 两者均与孔隙摩尔密度、饱和度以及组分含量有关; 为过去的i组分摩尔数, 为现在的i组分摩尔数。

3 三维地质模型

3.1 构造模型

基于M10油藏顶面深度等值线图 (图1)、近南北向及东西向连井剖面图 (图2), 运用Petrel建立M10层的构造模型如图3所示。模型长4200m, 宽3800m, 深度范围2934.5~3058.7m, 包含整个油层和水层, 但不包含盖层, 平均厚度41.7m, 其上下边界封闭; 水平方向每50m划分一个网格, x方向共86个网格, y方向共76个网格, z方向划分23层, 每层厚度平均1.72m, 共划分角点网格数146832个。油藏北部边界为北倾断层边界, 走向近东西向, 延伸长度约1.6km, 断距30多米 (朱伟林 等, 2010)。因其上下盘泥岩对接程度好, 认为封闭性良好 (彭佳龙 等, 2013), 因此模型北界不考虑流体的流入和流出。
为提供充足的底水能量补给, 经历史拟合后将模型南界东界设为封闭边界, 西界设置为流动边界, 存在流体主要是底水的无限流动, 模拟底水能量较强的油藏地质环境。
Fig. 3 Grids of M10 structural model

图3 M10层构造模型网格剖分

3.2 属性模型

本文根据6口井 (#1、#3、#6、#7、#10、#14) 的自然伽马 (GR) 测井曲线进行沉积相精细解释, 结合油层区域沉积相研究 (陈维涛 等, 2012; 雷霄 等, 2015; 施和生 等, 1999), 依据含砂量由多到少划分出了内砂坝、滩砂A、过渡砂坝、外砂坝、滩砂B和泥质砂体5类沉积亚相 (图4), 利用Petrel建立了岩相模型。由于缺少除#1之外的其他5口井的孔隙度及渗透率解释结果, 因此对其孔隙度和渗透率进行了解释。
Fig. 4 Well section for M10 reservoir with logging interpretation results. Curves from left to right are GR, sub-facies, permeability and porosity, respectively. GR data of #1 were based on Peng et al (2013) and the other five GR curves are based on the General Editorial Committee of Oil and Gas Field Development in China (2013). The black horizontal dotted line marks the top and bottom of M10 reservoir

图4 M10层连井剖面测井数据解释对比图
左起依次为GR、沉积亚相、渗透率和孔隙度曲线, 其中#1据彭佳龙 等 (2013), 其他5口井GR曲线据《中国油气田开发志》总编纂委员会 (2013); 黑色水平虚线标示M10层顶面和底面

首先根据#1的测井和试验数据 (自然伽马GR值、孔隙度Φ和渗透率k), 拟合GR与Φk的关系式:
式中泥质含量Vsh由常用公式计算 (Fertl et al, 1980):
其中, Ish为泥质相对含量; 由于M10地层为新近纪地层, 式中希尔奇指数GCUR取3.7; GRmin为最小GR值, GRmax为最大GR值, 根据GR数据计算得到的泥质含量Vsh与孔隙度的回归关系式误差较GR与孔隙度直接回归误差小约20%; 渗透率与孔隙度关系式依据Timur公式k = (0.136 × Φ4.4)/ Swir2总结的k = (0.136 × Φx) / Swiry回归得到 (杜宗君 等, 2000), 其中, Φ取0.153, 束缚水饱和度Swir取0.26。
然后利用公式 (3) 和 (4), 计算5口井 (#3、#6、#7、#10、#14) 的孔隙度和渗透率, 确定井的孔渗特征曲线。然后根据区域沉积微相, 用岩相模型来约束水平方向孔隙度和渗透率的分布, 通过贯序高斯法进行模拟, 最终得孔隙度和渗透率属性模型如图5所示。模型平均孔隙度15.84%, 平均渗透率 0.212μm2, 与原始储层实测数据误差比对见表1
Tab.1 Comparison of main parameters between M10 model and experiment data

表1 M10层三维地质模型主要参数与油藏实测数据对比列表

油藏 模型 误差/%
平均地层厚度/m 40.2 41.7 4.23
平均孔隙度/% 15.30 15.84 3.53
平均渗透率/μm2 0.205 0.212 3.41

注: 油藏数据引自文献《中国油气田开发志》总编纂委员会(2013)。

Fig. 5 3D model of porosity (a) and permeability (b) for M10 reservoir with z direction extended 10 times

图5 M10层三维孔隙度(a)和渗透率(b)属性模型(z方向放大10倍)

可见三维地质模型参数值与实测值较接近, 误差均小于5%, 能够较真实地反映M10储层物性分布特征, 可用于下一步组分模型数值模拟研究。

4 流体模型

4.1 原油组分与状态方程

根据原油饱和烃气相色谱组成以及气油比和油层中溶解气含量、原油密度和黏度等数据 (《中国油气田开发志》总编纂委员会, 2013; 翟光明 等, 1990), 通过油藏模拟组分分析拟合软件Winprop进行原油组分和属性拟合。首先拟合归并原油成分为包括CH4、CO2、C2H6、C3H8、C4H10、C5H12、C8和C12+等8组分的原油如表2所示, 然后基于P-R (Peng-Robinson) 方程, 进行饱和压力、闪蒸及膨胀试验等回归拟合了8组分的EOS状态方程, 将其导入组分模拟器GEM作为流体属性的控制方程。
Tab.2 Lumping and mole fraction of the 8-component oil system for M10 model

表2 M10模型中拟合归并的8组分原油成分

组分 CO2 C1 C2 C3 C4 C5 C8 C12+
含量/% 3.09065 47.4423 6.9656 2.6121 2.6121 1.7414 20.3062 15.2297
摩尔质量/(g·mol-1) 44.01 16.04 30.07 44.10 58.121 72.15 107.00 237.00

4.2 最小混相压力

最小混相压力是决定CO2与原油能否混相的主要因素, 与原油成分、油藏条件等有关 (沈平平 等, 2007)。长细管试验是实验室测定最小混相压力的一种常用且较为准确的方法, 利用驱油效率与驱替压力的关系曲线来确定最小混相压力, 曲线的拐点对应的压力即为最小混相压力 (Mogbo, 2011; Vahidi, 2014)。本文基于PVT参数拟合, 构建了长细管数值模拟实验来确定最小混相压力。细管模拟实验中设计了一维细管模型共500个网格 (500×1×1), 长、宽、高分别为0.1m (0.3ft)、0.11m (0.35ft)、0.11m (0.35ft)。为模拟油藏物性条件, 孔隙度和渗透率均设为油层平均值 (15%、0.205μm2), 相渗曲线及模型原油组分与三维模型一致, 模型温度为油层温度269.6℉(132℃); 地层初始压力设为平均地层压力, 注入井和生产井分别位于模型左右两端, 注入压力、生产压力随不同地层压力改变, 两者存在固定差值约1.38MPa。运行GEM组分模拟器, 测试平均地层压力变化范围从约14MPa到38MPa, 结果显示约在31MPa时, 采收率不再随地层压力增加而出现明显上升, 变化趋于平衡(图6), 拐点处压力即为原油与CO2的最小混相压力, 略高于储层原始地层压力 (约30MPa), 因此, 初步判断若在模拟过程中提高注入CO2压力, 能使平均地层压力等于或高于31MPa, CO2可与原油在地层中达到混相。
Fig. 6 Results of 1D slim tube simulation

图6 一维细管试验模拟结果

4.3 生产历史拟合

模拟注入CO2之前, 为使模型参数尽量接近油藏实际情况, 得到准确的油、水饱和度分布, 需要依据实际生产历史数据来对模型进行拟合。模型设置自1990年开始生产, 通过调整油-气-水相渗曲线(调整结果参见图7)、毛管力曲线、渗透率纵横比 (最终取值0.01) 以及生产井井底流压, 共模拟拟合15年 (1990—2005年) 的生产历史。模型拟合的原油地质储量为6.41×106m3, 与实际储层地质储量约6.37×106m3误差仅0.6%; 模型2005年底的采收率达29.2%, 累计产油量1.87×106m3, 拟合的采收率和累计产油量变化曲线与实际生产历史数据基本吻合 (图8)。鉴于2005年至2016年M10层的生产数据未公开, 从2005年开始, 设置模型自然生产至2016年进行预测模拟, 然后进行注CO2驱油。模拟至2016年底的采收率为33.3%, 累计产油2.14×106m3图9a为M10层初始原油饱和度分布, 原始初始含油饱和度为0.5~0.6; 生产26年后, 也就是模型中注CO2之前的含油饱和度为0.29~0.59 (图9b)。
Fig. 7 Relative permeability curves of oil-gas-water phases and capillary curves based on field data (a) and modified process (b). Pcow is oil-water capillary pressure, Krw is relative permeability of water, Krow is oil relative water permeability, Pcog is gas-liquid capillary pressure, Krg is relative permeability of gas, and Krog is oil relative to gas permeability

图7 油-水相对渗透率、毛管压力实测曲线 (a) 和调整结果 (b)
图中Pcow为油水毛管压力, Krw为水的相对渗透率, Krow为油相对于水的渗透率, Pcog为气液毛管压力, Krg为气的相对渗透率, Krog为油相对于气的渗透率

Fig. 8 History matching and production predicting curves of M10 component model. Individual data points are field production data based on the General Editorial Committee of Oil and Gas Field Development in China (2013), and the dotted line is matching results of numerical modeling

图8 M10层组分模型历史拟合和生产阶段预测曲线
单个数据点为油田实际生产数据 (据《中国油气田开发志》总编纂委员会, 2013), 虚线为模型计算拟合结果

5 CO2注入模拟

5.1 注入方案

考虑到需要充分利用已有生产井资源, 节省项目成本, 本次模拟没有设定新井位, 两口CO2注入井1 (I1) 和CO2注入井2 (I2) 利用原有井位 (分别对应#9A和#3井), 距最近一口生产井 (#7和#8井) 的井间距分别为800m和750m (#8)。在垂向-水平渗透率比、生产压力一定的情况下, 通过调整单井或双井注入以及注入井井底压力, 即对应不同的CO2注入速率, 来设计模拟方案。首先设计了单井 (I1或I2) 注入与双井 (I1&I2同时注入) 3种方案, 分别记为A、B和C; 然后根据地层压力及破裂压力条
件, 每个方案又分别设计3个不同注入井井底压力方案: 35MPa、38MPa和41MPa, 分别记为1、2和3, 这样模拟中共设计了9个CO2注入方案进行模拟, 详细参数列于表3。模拟中, 生产井与历史拟合阶段的设置相同。设置CO2注入时间开始于2016年9月13日, 连续注入5年, 到2021年9月12日停止注入。
Fig. 9 Contour maps of simulated results. Oil saturation distribution in 1990 (a) and at the beginning of CO2 injection in 2016 (b). The black dots represent production wells with two designed CO2 injection wells of I1 and I2. The CO2-EOR-S simulated process begun in September 2016 after injection wells were opened

图9 等值线模拟结果图
a. 1990年原始含油饱和度分布; b. 2016年CO2注入时的含油饱和度分布; 图中黑色原点代表生产井, I1、I2为设计的两口CO2注入井, 于2016年9月开井后模拟CO2-EOR-S过程

5.2 模拟结果

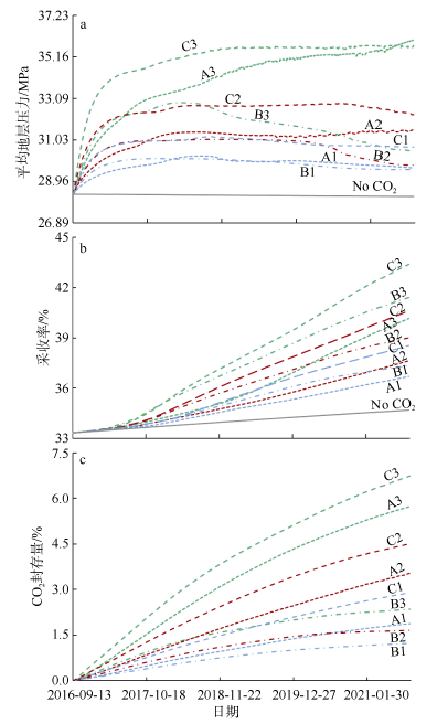
各方案模拟所得到的平均地层压力、采收率及CO2封存量结果曲线见图10所示。从图10a所示的平均地层压力的变化趋势可以看出, 注入压力为41MPa的3个方案中, 平均地层压力变化相对不稳定, 其中方案C3 和A3的地层压力一直在增加, 而B3为先增加后降低。注入压力为35MPa和38MPa时, 各方案的平均地层压力约在CO2注入半年后保持基本稳定。其中, 方案A1的平均地层压力约为29.85MPa, B1中平均地层压力约为29.79MPa, 均低于原油最小混相压力 (31MPa, 参见图6), CO2驱替机制应为非混相驱替过程; A2的平均地层压力约为30.99MPa, C1的平均地层压力约为30.94MPa, B2的平均地层压力约为30.41MPa, 这3个方案的地层压力很接近但未达到最小混相压力, 可能属于近混相驱替; 其余4个方案中除B3在最后一年的平均地层压力有所降低未达到混相条件外, 其他地层压力条件都高于最小混相压力, 应为CO2混相驱油机制 (表3)。混相驱的4个方案模拟过程中平均地层压力达到混相压力所需时间为2~4个月不等。
Fig. 10 Curves of average formation pressure (a), recovery ratio (b) and CO2 storage (c) for nine cases

图10 模拟结果对比曲线
a. 模拟过程中平均地层压力曲线 (未注入CO2的平均地层压力基本稳定在28.27MPa左右); b. 采收率变化曲线; c. CO2封存量曲线

对比CO2注入速率和注入量 (表3) 可以发现, 9个方案的注入速率变化范围为0.01~0.03PV·a-1 (PV为孔隙体积, 模型孔隙体积92.6×106m3), 对应的CO2注入量为0.34~1.25HCPV (Hydrocarbon Pore Volume, 含烃孔隙体积); 其中, 注入速率最小的为以单井注入且注入压力为35MPa的方案B1, 仅为~0.4×106t·a-1, 最大的为方案C3, 可达1.8×106t·a-1。达到混相驱的4个方案的注入速率最大, 都大于0.02PV·a-1, 注入量也最多 (0.789~1.252HCPV), 而非混相驱两个方案的注入速率最小, 都小于0.01PV·a-1, 注入量也最少 (0.342~0.399HCPV)。
Tab.3 CO2 injection settings

表3 CO2注入方案设置及结果统计表

编号 注入井 注入压力/MPa 平均地层压力/MPa 驱替
机制
注入速率/(PV·a-1) 注入HCPV
A1 I1 35 29.85 非混相 0.010 0.399
A2 I1 38 30.99 近混相 0.016 0.621
A3 I1 41 33.72 混相 0.023 0.905
B1 I2 35 29.79 非混相 0.009 0.342
B2 I2 38 30.41 近混相 0.012 0.489
B3 I2 41 31.67 混相 0.020 0.789
C1 I1&I2 35 30.94 近混相 0.015 0.594
C2 I1&I2 38 32.26 混相 0.022 0.865
C3 I1&I2 41 34.69 混相 0.031 1.252

注: 平均地层压力为CO2注入过程中地层的平均压力, 平均地层压力为注入一年后至注入结束时地层最高和最低压力的平均值; 采收率为注CO2驱的采收率; 采收率提高程度为相对于未注CO2驱的采收率增加百分比; 未注CO2时采收率为34.68%。

从各方案的采收率变化趋势 (图10b) 来看, 在未注CO2利用天然能量开采条件下模拟到2021年9月时采收率为34.68%。而进行CO2注入驱油的效果较好, 模拟注入5年后采收率普遍有所提高 (36.69%~43.41%)。相比未注CO2方案的34.68%, 提高程度范围在2.01%~8.73% (表4), 其中采收率提高效果最佳的为方案C3 (达到43.41%)。对比混相驱和非混相驱效果, 混相驱方案的最终采收率都达到40%以上, 高于近混相和非混相。对比单井注入方案结果 (如方案A3和B3), 采收率与CO2注入速率呈负相关关系, 可能是因为CO2注入速率越大, 一定时间内的CO2注入量越多, 先注入的CO2来不及与原油充分接触就被后注入的CO2代替, 导致CO2总体与原油接触时间段, 混相不充分, 故采收率提高效果不如注入速率低的方案。
Tab.4 CO2 sequestration queuing of nine cases

表4 各方案CO2封存量统计表格

编号 采收
率/%
采收率提高程度/% 累积CO2
注入量/Mt
累积CO2
生产量/Mt
CO2封存
量/Mt
A1 36.69 2.01 2.581 0.767 1.814
A2 37.64 2.96 4.241 0.776 3.466
A3 40.16 5.48 6.650 0.984 5.665
B1 37.35 2.67 2.195 1.034 1.161
B2 39.01 4.33 3.293 1.687 1.606
B3 41.41 6.73 5.593 3.298 2.295
C1 38.56 3.88 3.874 1.034 2.840
C2 40.64 5.96 5.969 1.520 4.450
C3 43.41 8.73 9.222 2.558 6.663

注: 采收率为注CO2驱的采收率; 采收率提高程度为相对于未注CO2驱的采收率增加百分比(未注CO2时采收率为34.68%); 累积CO2注入量、生产量和封存量均为地表条件下。

CO2封存量变化趋势图10c显示, 各方案总的CO2封存量变化范围为1.16~6.66Mt, 平均每年0.23 ~1.33Mt (表4)。根据各方案CO2封存量及采收率对比曲线 (图11), 在相同注入条件下的单井注入方案中, CO2封存量大, 其对应的原油采收率反而低 (同如方案A3 和B3); 而采用两口注入井的方案中, 采收率与CO2封存量呈正相关, 在采收率增加的同时封存量也增加了 (如方案C3) 。因此, 注入井数对CO2封存及提高采油效果影响较大, 增加注入井可以加大封存量。驱替机制方面, 混相驱的封存量大于近混相, 非混相的封存量最低。各方案的封存量大小排序与平均地层压力的排序基本一致, 表明CO2封存量受平均地层压力影响较大, 注入压力越高封存量也越大, 这可能也是导致两口注入井方案的封存量与采收率可以同时提高的最主要原因。
Fig. 11 Curves of CO2 storage mass and oil recovery factor for nine cases

图11 各方案CO2封存量及采收率对比曲线

综合对比9个方案的最终采收率和CO2封存模拟结果, 以2口井且达到混相驱的注入方案C3效果最佳, 图12所示为该方案的采收率和含水率变化曲线, 可以看出, 在CO2注入后, 含水率从~96%下降到最低点~59%, 然后有所反弹, 下降趋势明显; 采收率最终提高到43.41%, 相比未注CO2时的34.29%, 采收率提高了8.73%; 累计产油量约2.78×106m3相比未注CO2时约2.22×106m3提高了约0.56×106m3。该方案模拟中, 5年累积注入CO2 9.22Mt, 累积生产2.56Mt, 因此封存在油层中的CO2约为6.7Mt, CO2封存速率约为每年1.33Mt, 封存效率达73%。
Fig. 12 Recovery factor, water cut and cumulative oil production curves of C3 case. The black line means stimulated results of CO2 injection, and the grey line is a reference with no CO2 injected. The curves of oil recovery factor, water cut and cumulative oil production correspond to long dashed, short dotted and solid lines, respectively

图12 方案C3的采收率、含水率和累计产油量模拟结果曲线
黑线为注入CO2模拟结果, 灰线为未注入CO2参照; 采收率、含水率及累计产油量曲线类型分别对应长虚线、短虚线、实线

6 结论与讨论

通过油藏数值模拟方法, 对惠州21-1油田M10层实施CO2-EOR-S潜力评价, 得到初步结论如下。
1) 利用一维细管模型模拟8组分原油的最小混相压力约31MPa, 略高于地层压力, 因此如果CO2注入使地层压力增加达到或超过31MPa时, 可实现混相驱;
2) 注入压力和注入井对于CO2注入驱替机制影响较大, 对比9个模拟方案, 有4个达到混相驱, 3个近混相驱, 2个非混相驱; 混相驱的注入速率最大 (0.022~0.031PV·a-1), 近混相驱速率其次(0.012~ 0.016PV·a-1), 非混相驱速率最小(0.009~0.010 PV·a-1); 混相驱的采收率提高效果最为明显, 相较于未注入CO2, 提高约5.48%~8.73%, 而近混相驱和非混相驱仅分别为2.96%~4.33%和2.01%~2.67%;
3) 对于相同注入压力的单井方案, 原油采收率与CO2封存量呈负相关关系, 而在两口井的注入方案中, 采收率和封存量呈正相关, 因此增加注入井数有助于在提高采收率的同时加大封存量;
4) 由于原油较轻、混相压力接近地层压力, 易达到混相, 混相驱两口井注入方案效果最佳, 采收率可从原来34.29%提高到43.41%, 累计产油量从2.22×106m3提高到2.78×106m3, 含水率从约96%降到约59%, 共注入9.2Mt CO2, 封存6.7Mt CO2, 占注入量的73%, 封存速率约1.33×106t·a-1
由于条件所限, 本文的研究存在很多局限性。在数据方面, 目前只收集有6口井的测井数据, 且集中于油藏北部; 历史拟合使用的生产数据仅依据已公开或发表的数据, 截止时间为2005年底, 另外原油组分也仅依据气油比、黏度、密度等拟合得到, 这些都与目前油藏的实际状况有所差别, 从而在地质模型、流体属性和历史拟合等过程中必然会带来一定的误差和不确定性。因此, 我们更愿意将本文的工作看作是一次尝试, 首次对广东近海油藏进行CO2驱油和封存数值模拟研究, 以在驱替机制、提高采收率效果、CO2封存潜力、注采方案等方面获得初步的评估结果。鉴于本次模拟研究给出了能提高采收率的积极结果, 我们希望在下一步能收集到更多更全的油藏地质和开发数据以及取到原油样品, 以进一步开展精细建模、流体属性分析与拟合以及生产历史拟合, 建立更接近油藏实际的数值模型进行模拟分析, 获得更为可信的评价结果和认识。

The authors have declared that no competing interests exist.

[1]
毕凤琴, 李芳, 梁辉, 2011.“CO2-EOR”技术的国内外研究及应用现状[J]. 价值工程, 30(11): 206-207.

BI FENGQIN, LI FANG, LIANG HUI, 2011. Domestic and foreign research and application progress on CO2-EOR technology[J]. Value Engineering, 30(11): 206-207 (in Chinese).

[2]
陈澜, 梁希, 周蒂, 2014. 发展碳捕集、利用与封存对广东的产业机会[J]. 南方能源建设, 1(1): 7-15.

CHEN LAN, LIANG XI, ZHOU DI, 2014. Potential economic opportunities of developing a CCUS industry in Guangdong[J]. Energy Construction, 1(1): 7-15 (in Chinese).

[3]
陈维涛, 杜家元, 龙更生, 等, 2012. 珠江口盆地惠州地区珠江组控砂机制及地层-岩性圈闭发育模式[J]. 石油与天然气地质, 33(3): 449-458.

CHEN WEITAO, DU JIAYUAN, LONG GENGSHENG, et al, 2012. Factors controlling sandbody development and models of stratigraphic-lithologic traps of Zhujiang Formation in Huizhou area, Pearl River Mouth Basin[J]. Oil & Gas Geology, 33(3): 449-458 (in Chinese).

[4]
杜宗君, 张荣明, 2000. 应用测井资料结合岩相计算储层渗透率[J]. 测井技术, 24(增): 521-523.

DU ZONGJUN, ZHANG RONGMING, 2000. Calculation of reservoir permeability using log data and litho-facies[J]. Well Logging Technology, 24(Suppl): 521-523 (in Chinese).

[5]
郝敏, 宋永臣, 2010. 利用CO2提高石油采收率技术研究现状[J]. 钻采工艺, 33(4): 59-63. HAO MIN, SONG YONGCHEN, 2010. Research status of CO2-EOR[J]. Drilling & Production Technology, 33(4): 59-63 (in Chinese).

[6]
雷霄, 胡余, 梁文锋, 等, 2015. 文昌19-1油田珠江组二段Ⅰ油组沉积相研究[J]. 西南石油大学学报(自然科学版), 37(4): 1-12.

LEI XIAO, HU YU, LIANG WENFENG, et al, 2015. A Study on Sedimentary Facies of Oil Group I in Member 2 of Zhujiang Formation in Wenchang 19-1 Oilfield[J]. Journal of Southwest Petroleum University (Science & Technology Edition), 37(4): 1-12 (in Chinese).

[7]
刘恒, 高树堂, 1995. 大庆油田开发先导性矿场试验[M]. 北京: 石油工业出版社.

[8]
罗二辉, 胡永乐, 李保柱, 等, 2013. 中国油气田注CO2提高采收率实践[J]. 特种油气藏, 20(2): 1-7.

LUO ERHUI, HU YONGLE, LI BAOZHU, et al, 2013. Practices of CO2 EOR in China[J]. Special Oil and Gas Reservoirs, 20(2): 1-7 (in Chinese).

[9]
彭佳龙, 陈广浩, 周蒂, 等, 2013. 珠江口盆地惠州21-1构造二氧化碳地质封存数值模拟[J]. 海洋地质前沿, 29(9): 59-70.

PENG JIALONG, CHEN GUANGHAO, ZHOU DI, et al, 2013. Numerical simulation for offshore storage of carbon dioxide in Huizhou 21-1 trap, Pearl River Mouth Basin, China[J]. Marine Geology Frontiers, 29(9): 59-70 (in Chinese).

[10]
秦积舜, 韩海水, 刘晓蕾, 2015. 美国CO2驱油技术应用及启示[J]. 石油勘探与开发, 42(2): 209-216.

QIN JISHUN, HAN HAISHUI, LIU XIAOLEI, 2015. Application and enlightenment of carbon dioxide flooding in the United States of America[J]. Petroleum Exploration and Development, 42(2): 209-216 (in Chinese).

[11]
沈平平, 江怀友, 陈永武, 等, 2007. CO2注入技术提高采收率研究[J]. 特种油气藏, 14(3): 1-4, 11, 104.

SHEN PINGPING, JIANG HUAIYOU, CHEN YONGWU, et al, 2007. EOR study of CO2 injection[J]. Special Oil and Gas Reservoirs, 14(3): 1-4, 11, 104 (in Chinese).

[12]
沈平平, 廖新维, 2009. 二氧化碳地质埋存与提高石油采收率技术[M]. 北京: 石油工业出版社.

[13]
施和生, 于兴河, 1999. 珠江口盆地(东部)砂岩油田沉积相研究及其应用[J]. 中国海上油气(地质), 13(3): 181-188.

SHI HESHENG, YU XINGHE, 1999. A study on sedimentary facies of sandstone oil fields in eastern Pearl River Mouth Basin[J]. China Offshore Oil and Gas (Geology), 13(3): 181-188 (in Chinese).

[14]
孙枢, 2006. CO2地下封存的地质学问题及其对减缓气候变化的意义[J]. 中国基础科学, 8(3): 17-22.

SUN SHU, 2006. Geological problems of CO2 underground storage and its significance on mitigating climate change[J]. China Basic Science, 8(3): 17-22 (in Chinese).

[15]
翟光明, 王善书, 1990. 中国石油地质志: 卷十六: 沿海大陆架及毗邻海域油气区(下)[M]. 北京: 石油工业出版社.

[16]
张晓宇, 成建梅, 刘军, 等, 2006. CO2地质处置研究进展[J]. 水文地质工程地质, 33(4): 85-89.

ZHANG XIAOYU, CHENG JIANMEI, LIU JUN, et al, 2006. An overview of underground sequestration of carbon dioxide[J]. Hydrogeology & Engineering Geology, 33(4): 85-89 (in Chinese).

[17]
周蒂, 2005. CO2的地质存储——地质学的新课题[J]. 自然科学进展, 15(7): 782-787.

[18]
祝春生, 程林松, 2007. 低渗透油藏CO2驱提高原油采收率评价研究[J]. 钻采工艺, 30(6): 55-57.

ZHU CHUNSHENG, CHENG LINSONG, 2007. Research on CO2 flooding in low permeability reservoir[J]. Drilling & Production Technology, 30(6): 55-57 (in Chinese).

[19]
朱伟林, 米立军, 2010. 中国海域含油气盆地图集[M]. 北京: 石油工业出版社.

[20]
《中国油气田开发志》总编纂委员会, 2013. 中国油气田开发志——南海东部油气区油气田卷[M]. 北京: 石油工业出版社.

[21]
AZZOLINA N A, NAKLES D V, GORECKI C D, et al, 2015. CO2 storage associated with CO2 enhanced oil recovery: A statistical analysis of historical operations[J]. International Journal of Greenhouse Gas Control, 37: 384-397.

[22]
FERTL W H, FROST E JR, 1980. Evaluation of shaly clastic reservoir rocks[J]. Journal of Petroleum Technology, 32(9): 1641-1646.

[23]
ETTEHADTAVAKKOL A, LAKE L W, BRYANT S L, 2014. CO2-EOR and storage design optimization[J]. International Journal of Greenhouse Gas Control, 25: 79-92.

[24]
HILL B, HOVORKA S, MELZER S, 2013. Geologic carbon storage through enhanced oil recovery[J]. Energy Procedia, 37: 6808-6830.

[25]
IPCC, 2014. Climate Change 2014: Synthesis Report. Contribution of Working Groups I, II and III to the Fifth Assessment Report of the Intergovernmental Panel on Climate Change[R]. Geneva: IPCC: 1-151.

[26]
JIAO Z S, ZHOU L F, GAO R M, et al, 2014. Opportunity and challenges of integrated enhanced oil recovery using CO2 flooding with geological CO2 storage in the Ordos basin, China[J]. Energy Procedia, 63: 7761-7771.

[27]
KUUSKRAA V A, GODEC M L, DIPIETRO P, 2013. CO2 utilization from “next generation” CO2 enhanced oil recovery technology[J]. Energy Procedia, 37: 6854-6866.

[28]
KUUSKRAA V A, WALLACE M, 2014. CO2-EOR set for growth as new CO2 supplies emerge[J]. Oil & Gas Journal, 112(4): 92-105.

[29]
Computer Modelling Group LTD., 2015. CMG GEM User’s Guide[Z].

[30]
MOGBO O, 2011. CO2 EOR and sequestration in a depleted gas-condensate reservoir: UKNS case study[R]. SPE 150752, Abuja: Society of Petroleum Engineers: 1-17.

[31]
SCHLUMBERGER, 2015. Petrel online help and manuals[Z].

[32]
VAHIDI A, AHMADI M, NOURMOHAMMAD A, 2014. Carbon dioxide minimum miscibility pressure estimation (case study)[J]. Journal of Petroleum Science and Technology, 4(2): 20-27.

[33]
ZHAO D F, LIAO X W, YIN D D, 2014. Evaluation of CO2 enhanced oil recovery and sequestration potential in low permeability reservoirs, Yanchang Oilfield, China[J]. Journal of the Energy Institute, 87(4): 306-313.

Outlines

/