Journal of Tropical Oceanography ›› 2026, Vol. 45 ›› Issue (1): 117-130.doi: 10.11978/YG2025002CSTR: 32234.14.YG2025002
• Paleoceanography • Previous Articles Next Articles
LUO Chuanxiu1(
), LIN Gang2, THILAKANAYAKA Vidusanka A. M.1, WEI Haicheng3(
), XIANG Rong1, YANG Yiping1(
), WAN Sui1, LIANG Shiqing1, SU Xiang1, DU Shuhuan1, ZHANG Lanlan1, LIU Jianguo1, HUANG Yun1, SOE Moe Lwin4
Received:2025-06-27
Revised:2025-07-16
Online:2026-01-10
Published:2026-01-30
Contact:
WEI Haicheng, email: Supported by:CLC Number:
LUO Chuanxiu, LIN Gang, THILAKANAYAKA Vidusanka A. M., WEI Haicheng, XIANG Rong, YANG Yiping, WAN Sui, LIANG Shiqing, SU Xiang, DU Shuhuan, ZHANG Lanlan, LIU Jianguo, HUANG Yun, SOE Moe Lwin. Evidence of micro-charcoal deposited in the lower fan of the Bay of Bengal reveals an arid climate during the early Heirich Stadial 1[J].Journal of Tropical Oceanography, 2026, 45(1): 117-130.
Add to citation manager EndNote|Reference Manager|ProCite|BibTeX|RefWorks
Fig. 2
Vegetation map of the surrounding area of the northeastern Indian Ocean (modified from Liu et al, 2021). The orange star in the figure represents the study site in this study; the white dots are the positions mentioned in the discussion, among which core YDY10 and core E87-32B are cited from Rahman et al (2025), BAR94-25 is cited from van Der Kaars et al (2012), BAR94-42 is cited from van Der Kaars et al (2010), cores 117KL, 118KL, and 120KL are cited from Galy et al (2008)"
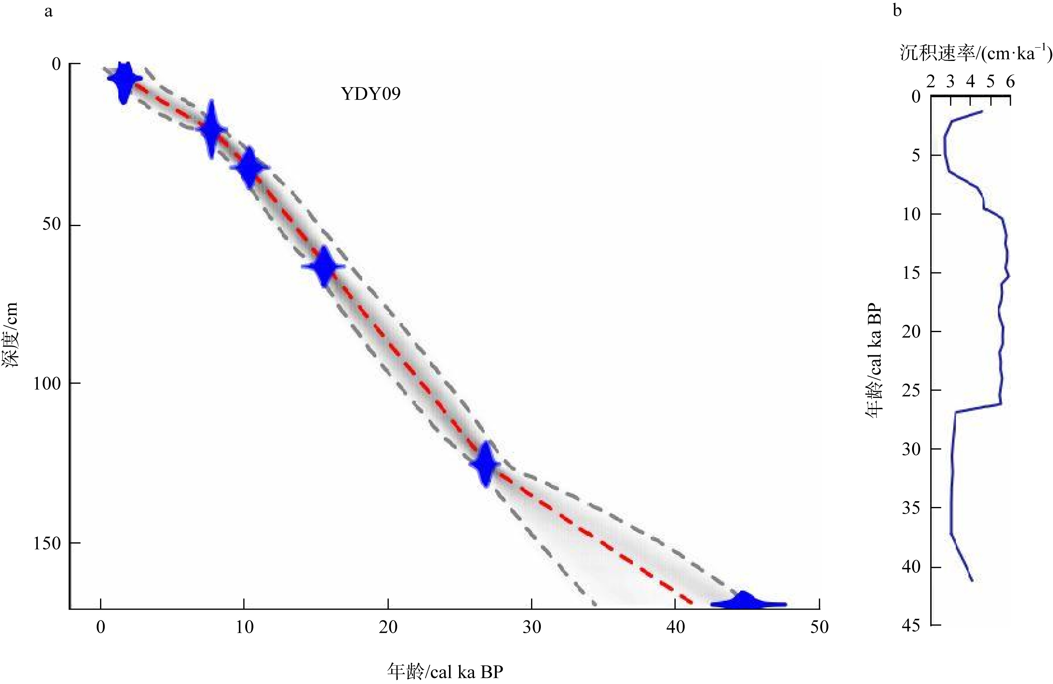
Tab. 1
AMS14C age data, calibration results, and sedimentation rates for core YDY09 (Liu et al, 2019b)"
| 深度/cm | 实验室编号 | 测年材料 | AMS 14C年龄/ a | 日历年龄/ a | δ13C/‰ | 沉积速率/ (cm·ka−1) |
|---|---|---|---|---|---|---|
| 3~4 | 391114 | 混合浮游有孔虫 | 2100±30 | 1669±52 | 1.4 | 2.00 (0~3cm深度) |
| 19~20 | 391115 | 混合浮游有孔虫 | 7260±30 | 7716±42 | 0.8 | 2.64 (3~19cm深度) |
| 30~32 | 391116 | 混合浮游有孔虫 | 9490±30 | 10323±59 | 0.6 | 4.61 (19~31cm深度) |
| 62~63 | 391117 | 混合浮游有孔虫 | 13480±40 | 15688±98 | 0.7 | 6.18 (31~63cm深度) |
| 124~125 | 408431 | 混合浮游有孔虫 | 23290±80 | 27255±105 | 1.3 | 5.21 (63~125cm深度) |
| 168~169 | 408432 | 混合浮游有孔虫 | 42790±600 | 45651±534 | 0.9 | 2.39 (125~169cm深度) |
Fig. 5
Comparison of charcoal records from core YDY09 with paleoenvironmental records. (a) Total charcoal concentration from core YDY09; (b) δ18O record of stalagmites from Mawmluh Cave, northeastern India (Dutt et al, 2015); (c) salinity record from core SO93-126KL in the northern Bay of Bengal, indicating variations in Indian Summer Monsoon precipitation (Kudrass et al, 2001); (d) percentage of evergreen broad-leaved forests from cores YDY10 and E87-32B in the Bay of Bengal (Rahman et al, 2025); (e) percentage of woody charcoal from core YDY09, indicating changes in the amount of woody plant combustion; (f) moving average of δ13C record (light green) of sedimentary organic carbon (Corg-bulk) from cores 117KL, 118KL, and 120KL in the northern Bay of Bengal and its 3 ka shifted data towards the past (dark green), indicating the proportion of C3 and C4 plants in the Himalayan basin (Galy et al, 2008). Black dashed lines indicate the locations of 26 cal ka BP, 17 cal ka BP, and 7 cal ka BP; blue shading indicates the LGM and Early HS1 periods"
Fig. 6
Diagram showing the correlation between selected pollen curves from the marine core BAR94-25 (van Der Kaars, et al, 2012) and BAR94-42 (van Der Kaars et al, 2010) records. The percentage curves with horizontal black bar fill patterns show values calculated using pollen sum defined in the text. The unfilled percentage curves show values calculated using pollen sum excluding pine pollen"
| [1] |
江鸿, 饶志国, 2018. 火的历史重建及其与气候变化和人类活动关系研究进展[J]. 海洋地质与第四纪地质, 38(2): 185-197.
|
|
|
|
| [2] |
李小强, 赵宏丽, 闫敏华, 等, 2005. 东北三江平原全新世火演化及其与植被和气候的关系[J]. 地理科学, 25(2): 177-182.
|
|
|
|
| [3] |
李宜垠, 侯树芳, 赵鹏飞, 2010. 微炭屑的几种统计方法比较及其对人类活动的指示意义[J]. 第四纪研究, 30(2): 356-363.
|
|
|
|
| [4] |
刘良云, 张肖, 2021. 2020年全球30米地表覆盖精细分类产品V1. 0[Z]. 北京: 中国科学院空天信息创新研究院.
|
|
|
|
| [5] |
罗运利, 陈怀成, 吴国瑄, 等, 2001. 南海最近3个冰期旋回中的天然火与气候: ODP1144孔深海沉积中的炭屑记录[J]. 中国科学(D辑: 地球科学), 31(10): 854-860 (in Chinese).
|
| [6] |
王梓莎, 苗运法, 赵永涛, 等, 2020. 柴达木盆地北缘湖泊表层沉积物炭屑特征及其环境意义[J]. 中国沙漠, 40(4): 10-17.
doi: 10.7522/j.issn.1000-694X.2020.00012 |
|
doi: 10.7522/j.issn.1000-694X.2020.00012 |
|
| [7] |
魏海成, 鄂崇毅, 段荣蕾, 等, 2021. 真菌孢子记录的全新世中期以来青藏高原东北部地区畜牧活动历史[J]. 中国科学: 地球科学, 51(11):1907-1922 (in Chinese).
|
| [8] |
严崇潮, 1984. 东南亚的植被类型和分布规律[J]. 生态学杂志, 3(5): 28-32.
|
|
|
|
| [9] |
张健平, 吕厚远, 2006. 现代植物炭屑形态的初步分析及其古环境意义[J]. 第四纪研究, 26(5): 857-863.
|
|
|
|
| [10] |
张瑞, 迟云平, 谢远云, 等, 2022. 哈尔滨黄土炭屑记录的中晚更新世以来古火活动及其驱动机制[J]. 生态学报, 42(24): 10317-10328.
|
|
|
|
| [11] |
张亚敬, 姜云鹏, 徐亚男, 等, 2021. 孟加拉湾东海岸波浪特征分析[J]. 中国水运, (5): 157-160 (in Chinese).
|
| [12] |
doi: 10.1016/j.palaeo.2015.09.048 |
| [13] |
doi: 10.18814/epiiugs/1997/v20i4/002 |
| [14] |
doi: 10.1214/ba/1339616472 |
| [15] |
doi: 10.1126/science.1163886 pmid: 19390038 |
| [16] |
|
| [17] |
doi: 10.1139/x91-015 |
| [18] |
doi: 10.1016/S0031-0182(98)00205-3 |
| [19] |
|
| [20] |
doi: 10.1016/0033-5894(88)90088-9 |
| [21] |
doi: 10.1038/283647a0 |
| [22] |
|
| [23] |
doi: 10.1016/j.jseaes.2004.09.001 |
| [24] |
doi: 10.1016/j.revmic.2019.02.001 |
| [25] |
doi: 10.1177/0959683616650267 |
| [26] |
doi: 10.1002/grl.v42.13 |
| [27] |
|
| [28] |
doi: 10.1016/j.quascirev.2008.04.005 |
| [29] |
doi: 10.1016/j.quascirev.2015.02.002 |
| [30] |
doi: 10.1016/j.quascirev.2011.10.004 |
| [31] |
doi: 10.4319/lo.1975.20.3.0456 |
| [32] |
doi: 10.1111/gcb.v28.10 |
| [33] |
doi: 10.1016/0034-6667(92)90137-6 |
| [34] |
doi: 10.1016/j.palaeo.2019.03.018 |
| [35] |
doi: 10.1016/j.earscirev.2019.102917 |
| [36] |
doi: 10.1016/j.palaeo.2020.110151 |
| [37] |
doi: 10.1016/S0079-6611(98)00036-6 |
| [38] |
doi: 10.1080/14614103.2021.1959188 |
| [39] |
doi: 10.1016/j.quascirev.2024.109024 |
| [40] |
doi: 10.1130/0091-7613(2001)029<0063:MAAOCC>2.0.CO;2 |
| [41] |
|
| [42] |
doi: 10.1016/j.palaeo.2019.02.021 |
| [43] |
doi: 10.1016/j.quascirev.2019.04.008 |
| [44] |
doi: 10.1038/s41467-024-53999-4 |
| [45] |
doi: 10.1139/x04-071 |
| [46] |
|
| [47] |
doi: 10.5194/bg-13-3225-2016 |
| [48] |
doi: 10.1016/j.epsl.2013.12.043 |
| [49] |
doi: 10.1177/095968369500500303 |
| [50] |
doi: 10.1038/nature13196 |
| [51] |
doi: 10.1038/342226a0 |
| [52] |
doi: 10.1016/j.palaeo.2006.03.001 |
| [53] |
doi: 10.1016/j.quascirev.2012.07.002 |
| [54] |
doi: 10.1016/j.quascirev.2025.109314 |
| [55] |
|
| [56] |
doi: 10.1007/s10661-015-4351-7 |
| [57] |
doi: 10.1017/RDC.2020.41 |
| [58] |
doi: 10.1073/pnas.1018116108 |
| [59] |
doi: 10.3390/rs70302401 |
| [60] |
|
| [61] |
doi: 10.1016/S0031-0182(00)00192-9 |
| [62] |
|
| [63] |
doi: 10.1016/j.palaeo.2009.12.012 |
| [64] |
doi: 10.54991/jop.1997.1355 |
| [65] |
doi: 10.1016/j.quascirev.2022.107725 |
| [66] |
doi: 10.1177/0959683617721329 |
| [67] |
doi: 10.1073/pnas.0903410106 |
| [68] |
doi: 10.1017/S0033822200064778 |
| [69] |
|
| [70] |
doi: 10.1073/pnas.1717784115 |
| [71] |
doi: 10.1191/095968398666496051 |
| [72] |
doi: 10.1016/j.palaeo.2010.06.015 |
| [73] |
doi: 10.1016/j.quaint.2011.09.006 |
| [74] |
|
| [75] |
doi: 10.1016/0010-2180(94)90070-1 |
| [76] |
pmid: 11743199 |
| [77] |
doi: 10.1016/j.quaint.2003.09.001 |
| [78] |
|
| [79] |
doi: 10.1038/s41467-023-40377-9 pmid: 37542043 |
| [80] |
doi: 10.1016/j.quascirev.2015.06.009 |
| [1] | WU Lanjun, LI Gang, YANG Menglin. A review of the Holocene hydroclimate in the arid West Asia [J]. Journal of Tropical Oceanography, 2026, 45(1): 3-16. |
| [2] | ZHANG Lanlan, CHENG Xiawen, XIANG Rong, QIU Zhuoya, CHANG Hu. Changes of radiolarian community structure with depth in the central Bay of Bengal in spring 2019 [J]. Journal of Tropical Oceanography, 2023, 42(4): 166-175. |
| [3] | XU Yikai, HU Song, ZHU Yuhang, WANG Fei, ZHANG Chunling. Impacts of continental shelf on tide in the Bay of Bengal [J]. Journal of Tropical Oceanography, 2023, 42(3): 67-74. |
| [4] | HE Zikang, WANG Xidong, CHEN Zhiqiang, FAN Kaigui. Reconstructing salinity profile using temperature profile and sea surface salinity [J]. Journal of Tropical Oceanography, 2021, 40(6): 41-51. |
| [5] | Zhou LE, Ke HUANG, Subrahmanyam Mantravadi Venkata. Energy characteristics of eddy-mean flow interaction in the estuary of Bay of Bengal in summer and autumn during 2000-2015 [J]. Journal of Tropical Oceanography, 2020, 39(2): 11-14. |
| [6] | Tian MA,Yiquan QI,Xuhua CHENG. Intraseasonal-to-semiannual variability of barrier layer thickness in the eastern equatorial lndian Ocean and Bay of Bengal [J]. Journal of Tropical Oceanography, 2019, 38(5): 18-31. |
| [7] | Xudong WANG, Huiwen HUANG, Yuedong SUN, Niu LI, Yu HU, Dong FENG. Recent progress on submarine cold seep activity of the northern Indian Ocean [J]. Journal of Tropical Oceanography, 2017, 36(6): 82-89. |
| [8] | XUAN Li-li, QIU Yun, XU Jin-dian, Li Zi-qiang. Seasonal variation of the water exchange between the Bay of Bengal and the equatorial eastern Indian Ocean [J]. Journal of Tropical Oceanography, 2015, 34(6): 26-34. |
| [9] | XUAN Li-li, QIU Yun, XU Jin-dian, ZENG Ming-zhang. Seasonal variation of surface-layer circulation in the eastern tropical Indian Ocean [J]. Journal of Tropical Oceanography, 2014, 33(1): 26-35. |
| [10] | LUO Chuan-xiu,CHEN Mu-hong,LIU Jian-guo,ZHANG Lan-lan,XIANG Rong,LU Jun. Pollen distribution in marine surface sediments of Guangdong coast and southeast Hainan Island and its environmental significance [J]. Journal of Tropical Oceanography, 2012, 31(2): 55-61. |
| [11] | ZHANG Yu-lan,PENG Xue-chao,ZHAO Jing. High-resolution palynological record and evolution of vegetation and climate in the low latitude of the South China Sea since 15 kaBP [J]. Journal of Tropical Oceanography, 2011, 30(5): 67-73. |
|
||
