热带海洋学报 ›› 2026, Vol. 45 ›› Issue (2): 160-172.doi: 10.11978/2025065CSTR: 32234.14.2025065

• 海洋环境保护 • 上一篇    下一篇

大鹏湾海域海漂垃圾迁移路径研究

邱家福(), 刘佳鑫, 段晓伟, 陈胜利()   

  1. 清华大学深圳国际研究生院海洋工程研究院, 广东 深圳 518055
  • 收稿日期:2025-05-14 修回日期:2025-07-17 出版日期:2026-03-10 发布日期:2026-03-26
  • 通讯作者: 陈胜利。email: shenglichen@sz.tsinghua.edu.cn
  • 作者简介:

    邱家福(1999—), 男, 江西省抚州市人, 硕士研究生。email:

  • 基金资助:
    深圳市重大专项可持续发展专项(KCXFZ20240903093900002); 广东省粤港澳团队联合项目(2022B1515130006)

A study on the migration paths of floating debris in the sea area of Dapeng Bay

QIU Jiafu(), LIU Jiaxin, DUAN Xiaowei, CHEN Shengli()   

  1. Institute for Ocean Engineering, Shenzhen International Graduate School, Tsinghua University, Shenzhen 518055, China
  • Received:2025-05-14 Revised:2025-07-17 Online:2026-03-10 Published:2026-03-26
  • Contact: CHEN Shengli. email: shenglichen@sz.tsinghua.edu.cn
  • Supported by:
    Shenzhen Major Special Project - Sustainable Development Special Project(KCXFZ20240903093900002); Guangdong-Hong Kong-Macao Joint Funding Program(2022B1515130006)

摘要:

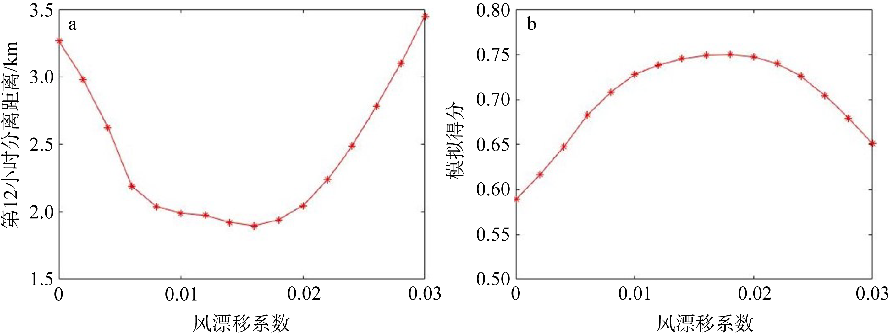
大鹏湾是深圳市重要旅游区域, 每年海滩垃圾、海漂垃圾量达上百吨。文章针对大鹏湾区域, 以海流模型(finite volume community ocean model, FVCOM)为基础建立了大鹏湾区域海洋数值模型, 并将模拟的流场和风场数据输入拉格朗日质点追踪模型OpenDrift, 结合观测浮标数据对大鹏湾海漂垃圾的迁移过程开展研究。结果表明, 大鹏湾常见风为东风、东北风和东南风, 在这些风向下, 70%以上的大鹏湾北部和东部的近岸海漂垃圾会聚集在盐田港及其东南部香港的吉澳洲岛、黄泥洲岛、娥眉洲岛、往湾洲岛区域。在大鹏湾海上垃圾日常清理工作中, 需要重点关注上述区域。通过对比不同月份和潮汐的试验, 发现风向主导海漂垃圾整体的运动方向, 风速影响漂移时间和漂移距离, 潮流差异影响搁浅区域和抵达各区域的海漂垃圾数量。

关键词: 大鹏湾, 海漂垃圾, 迁移路径, 数值模拟

Abstract:

As a key tourist area in Shenzhen, Dapeng Bay faces an annual accumulation of hundreds of tons of beach and marine debris. This study focuses on the Dapeng Bay region, establishing a marine numerical model based on the finite volume community ocean model (FVCOM). Simulated flow and wind field data were integrated into the Lagrangian particle-tracking model OpenDrift to investigate the migration patterns of marine debris in Dapeng Bay, combined with observational data from drift buoys. The results indicate that the prevailing winds in Dapeng Bay are easterly, northeasterly, and southeasterly. Under these wind conditions, more than 70% of the nearshore floating debris in the northern and eastern parts of Dapeng Bay accumulates in Yantian Port and the four Hong Kong islands (Crooked Island, Wong Nai Chau, Ngo Mei Chau and Double Island). Therefore, daily marine debris cleanup efforts in Dapeng Bay should prioritize the above areas. Through comparative experiments across different months and tidal conditions, this study reveals that wind direction primarily governs the overall movement trajectories of marine debris, wind speed influences drift duration and distance, and tidal variations affect stranding zones and the quantity of debris reaching different regions. The movement and distribution patterns of marine debris in Dapeng Bay uncovered in this study can provide valuable references for debris cleanup operations.

Key words: Dapeng Bay, floating debris, migration paths, numerical simulation

中图分类号: 

  • P762.8